题目内容
如图所示,一小型发电机内有n=100匝矩形线圈,线圈面积S=0.10m2,线圈电阻可忽略不计.在外力作用下矩形线圈在B=0.10T匀强磁场中,以恒定的角速度ω=100π rad/s绕垂直于磁场方向的固定轴OO′匀速转动,发电机线圈两端与R=100Ω的电阻构成闭合回路.求:(1)线圈转动时产生感应电动势的最大值;
(2)从线圈平面通过中性面时开始,线圈转过90°角的过程中通过电阻R横截面的电荷量;
(3)线圈匀速转动10s,电流通过电阻R产生的焦耳热.(计算结果保留二位有效数字)
【答案】分析:正弦式电流给灯泡供电,电压表显示是电源电压的有效值,要求电路中灯泡的电流或功率等,均要用正弦式电流的有效值.而求有效值方法:是将交流电在一个周期内产生热量与将恒定电流在相同时间内产生的热量相等,则恒定电流的值就是交流电的有效值.通过横截面的电荷量则需要用交流电的平均值,而电器的耐压值时则交流电的最大值.
解答:解:(1)当线圈与磁感线平行时,线圈中感应电动势的最大值,则为 Em=nBSω=3.1×102 V
(2)设从线圈平面通过中性面时开始,线圈转过90°角所用时间为△t,
线圈中的平均感应电动势
=n
通过电阻R的平均电流
在△t时间内通过电阻横截面的电荷量Q=
=1.0×10-2C,
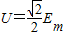
(3)矩形线圈在匀强磁场中匀速转动产生正弦交变电流,电阻两端电压的有效值
经过t=10s电流通过电阻产生的焦耳热Q热=
解得Q热=4.9×103J.
点评:当线圈与磁场相平行时,即线圈边框正好垂直切割磁感线,此时产生的感应电动势最大.求电荷量时,运用交流电的平均值,求产生的热能时,用交流电的有效值.
解答:解:(1)当线圈与磁感线平行时,线圈中感应电动势的最大值,则为 Em=nBSω=3.1×102 V
(2)设从线圈平面通过中性面时开始,线圈转过90°角所用时间为△t,
线圈中的平均感应电动势
通过电阻R的平均电流
在△t时间内通过电阻横截面的电荷量Q=
(3)矩形线圈在匀强磁场中匀速转动产生正弦交变电流,电阻两端电压的有效值
经过t=10s电流通过电阻产生的焦耳热Q热=
解得Q热=4.9×103J.
点评:当线圈与磁场相平行时,即线圈边框正好垂直切割磁感线,此时产生的感应电动势最大.求电荷量时,运用交流电的平均值,求产生的热能时,用交流电的有效值.
练习册系列答案
相关题目
如图所示,一个小型旋转电枢式交流发电机,其矩形线圈的线框面积为S,共有n匝,总电阻为r,与线圈两端相接触的集流环上接有一个阻值为R的定值电阻、理想交流电流表A和二极管D。线圈以角速度ω在磁感应强度为B的匀强磁场中绕与磁场方向垂直的对称轴OO′匀速运动,沿转轴OO′方向看去,线圈转动沿逆时针方向,t=0时刻线圈平面与磁感线垂直。下列说法正确的是
![]()
A.一个周期内通过R的电荷量![]()
|
C.交流电流表的示数为0
D.若用一根导线连接M、N两点,发电机的发电功率不变
如图所示,一个小型旋转电枢式交流发电机,其矩形线圈的线框面积为S,共有n匝,总电阻为r,与线圈两端相接触的集流环上接有一个阻值为R的定值电阻、理想交流电流表A和二极管D。线圈以角速度ω在磁感应强度为B的匀强磁场中绕与磁场方向垂直的对称轴OO′匀速运动,沿转轴OO′方向看去,线圈转动沿逆时针方向,t=0时刻线圈平面与磁感线垂直。下列说法正确的是
A.一个周期内通过R的电荷量![]()
|
C.交流电流表的示数为0
D.若用一根导线连接M、N两点,发电机的发电功率不变