题目内容

两辆摩托车以36km/h的速度相向而行发生碰撞,碰撞时间为,你判定一下驾驶员是否有生命危险?

答案:有
解析:

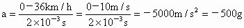
加速度

摩托车的加速度大小达到了500g,因此有生命危险.

加速度a由速度的变化Δv和发生这一改变所用时间Δt共同决定,一个不大的速度变化,如果时间足够短,也可以产生很大的加速度.


练习册系列答案
相关题目

违法和不良信息举报电话:027-86699610 举报邮箱:58377363@163.com

精英家教网