题目内容
A.
B.
C.I=mvB-mvA
D.I>mvB-mvA
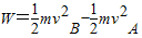
【答案】分析:物体只在拉力做功的情况下前进,已知初末速度,故可由动能定理求出拉力做的功;
由动量定理可求得力做功的冲量.
解答:解:由动能定理可得:
F所做的功;
,故A正确,B错误;
由动量定理可得:
合外力的冲量:I=mvB-mvA;
而合外力为F在水平方向上的分量,故F>F合,
故F的冲量大于合外力的冲量,
故C错误,D正确;
故选AD.
点评:本题考查动能定理及动量定理的应用,要注意动量和动能的区别,动能为标量,而动量为矢量.
由动量定理可求得力做功的冲量.
解答:解:由动能定理可得:
F所做的功;
由动量定理可得:
合外力的冲量:I=mvB-mvA;
而合外力为F在水平方向上的分量,故F>F合,
故F的冲量大于合外力的冲量,
故C错误,D正确;
故选AD.
点评:本题考查动能定理及动量定理的应用,要注意动量和动能的区别,动能为标量,而动量为矢量.
练习册系列答案
相关题目