题目内容
如图所示的直角三角板紧贴在固定的刻度尺上方,现使三角板沿刻度尺水平向右匀速运动的同时,一支铅笔从三角板直角边的最下端,由静止开始沿此边向上做匀加速直线运动,下列关于铅笔尖的运动及其留下痕迹的判断正确的是( )A.笔尖运动的速度方向始终保持不变
B.笔尖运动的速度大小始终保持不变
C.笔尖留下的痕迹是一条抛物线
D.笔尖留下的痕迹是一条倾斜的直线
【答案】分析:笔尖参与了水平方向上的匀速直线运动和竖直方向上的匀加速直线运动,根据数学方法得出竖直位移与水平位移的关系式,即轨迹方程,从而判断出轨迹的形状.
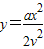
解答:解:因为笔尖水平方向上做匀速直线运动,在竖直方向上匀加速直线运动,设水平方向匀速直线运动的速度为v,竖直方向上运动的加速度为a,有:x=vt,y=
,消去t,得
,知运动轨迹为抛物线,速度方向不停地改变.根据
知,合速度的大小不断增大.故C正确,A、B、D错误.
故选C.
点评:解决本题的关键知道笔尖在水平方向和竖直方向上的运动规律,最终的运动是这两运动的合运动.
解答:解:因为笔尖水平方向上做匀速直线运动,在竖直方向上匀加速直线运动,设水平方向匀速直线运动的速度为v,竖直方向上运动的加速度为a,有:x=vt,y=
故选C.
点评:解决本题的关键知道笔尖在水平方向和竖直方向上的运动规律,最终的运动是这两运动的合运动.
练习册系列答案
相关题目
| A、笔尖留下的痕迹是一条抛物线 | B、笔尖留下的痕迹是一条倾斜的直线 | C、在运动过程中,笔尖运动的速度方向时刻不变 | D、在运动过程中,笔尖运动的加速度方向时刻改变 |