题目内容

(改编)飞行时间质谱仪可对气体分子进行分析.如图所示,在真空状态下,脉冲阀P喷出微量气体,经激光照射产生电荷量为q、质量为m的正离子,自a板小孔进入a、b间的加速电场,从b板小孔射出,沿中线方向进入M、N板间的偏转控制区,到达探测器.已知a、b板间距为d,极板M、N的长度和间距均为L.不计离子重力及进入a板时的初速度.则:

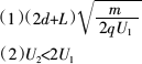
(1)若a、b间的电势差为U1,在M、N间加上适当的电势差U2,使离子到达探测器.求离子到达探测器的全部飞行时间;

(2)为保证离子不打在极板上,试求U2与U1的大小关系.

答案:
解析:

  答案:

  

  提示:

  


练习册系列答案
相关题目

违法和不良信息举报电话:027-86699610 举报邮箱:58377363@163.com

精英家教网