题目内容

关于万有引力和万有引力定律理解正确的有( )
A.不可能看作质点的两物体之间不存在相互作用的引力
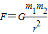
B.可看作质点的两物体间的引力可用F=计算
C.由F=可知,两物体间距离r减小时,它们之间的引力增大,紧靠在一起时,万有引力非常大
D.引力常量的大小首先是由安培测出来的,且等于6.67×10-11N?m2/kg2
【答案】分析:任意两个物体间都存在相互点的引力,即万有引力.万有引力定律的公式适用于质点间的万有引力.引力常量是卡文迪许测量出来的.
解答:解:A、任意两个物体间都存在相互作用的引力.故A错误.
    B、万有引力定律的公式适用于质点间的万有引力.故B正确.
    C、由F=可知,两物体间距离r减小时,它们之间的引力增大,当r小到一定程度,物体不能看成质点,公式不再适用.故C错误.
    D、引力常量是卡文迪许测量出来的.故D错误.
故选B.
点评:解决本题的关键知道万有引力定律的公式适用条件,适用于质点间的万有引力.以及知道引力常量是卡文迪许测量出来的.
练习册系列答案
相关题目

违法和不良信息举报电话:027-86699610 举报邮箱:58377363@163.com

精英家教网