题目内容

(16分)如图所示,固定的光滑金属导轨间距为L,导轨电阻不计,上端a、b间接有阻值为R的电阻,导轨平面与水平面的夹角为θ,且处在磁感应强度大小为B、方向垂直于导轨平面向上的匀强磁场中。质量为m、电阻为r的导体棒与固定弹簧相连后放在导轨上。初始时刻,弹簧恰处于自然长度,导体棒具有沿轨道向上的初速度v0。整个运动过程中导体棒始终与导轨垂直并保持良好接触。已知弹簧的劲度系数为k,弹簧的中心轴线与导轨平行。

⑴求初始时刻通过电阻R的电流I的大小和方向;

⑵当导体棒第一次回到初始位置时,速度变为v,求此时导体棒的加速度大小a;

⑶导体棒最终静止时弹簧的弹性势能为Ep,求导体棒从开始运动直到停止的过程中,电阻R上产生的焦耳热Q。

 

【答案】

(1),电流方向为b→a (2) (3)

【解析】

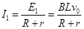
试题分析:⑴棒产生的感应电动势     2分

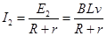
通过的电流大小   2分

电流方向为b→a           1分

⑵棒产生的感应电动势为          1分

感应电流        1分

棒受到的安培力大小,方向沿斜面向上   1分

根据牛顿第二定律 有        1分

解得       1分

⑶导体棒最终静止,有 

压缩量        1分

设整个过程回路产生的焦耳热为Q0,根据能量守恒定律 有

      2分

        1分

电阻R上产生的焦耳热

     2分

考点:本题考查了感应电动势和右手定则、电磁感应与牛顿运动定律的结合,电磁感应与能量的结合。

 

练习册系列答案
相关题目

违法和不良信息举报电话:027-86699610 举报邮箱:58377363@163.com

精英家教网