题目内容

一个人以30m/s的初速度将小球上抛,每隔1s抛出一球.假设空气阻力可以忽略不计,而且升、降的球都不相碰(取),问:

(1)最多有几个小球在空中?

(2)设在t=0时将第1个小球抛出,在哪些时刻它和以后抛出的小球在空中相遇而过?

答案:略
解析:

小球都做竖直上抛运动,求出每个小球在空中运动的时间,就知道空中最多能有几个小球.欲求相遇时刻,可根据相遇时小球的位移相等来求解.

(1)小球做竖直上抛运动在空中经历的时间为

t=0时,将第1个小球抛出后,它于第6s末回到原处;同时第7个小球即将抛出.在第6个小球抛出后,第1个小球尚未返回到地面,空中共有6个小球;第7个小球抛出时,第1个小球已落地,所以空中最多只有6个小球.

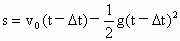
(2)1个小球于t=0时抛出,而第n个小球于Δt后抛出,NU在某一时刻t,这两个小球的位移分别为

两个小球在空中相遇时它们的位移相等,即

上式中t表示第1个小球和Δt时间后抛出的小球在空中相遇而过的时刻,由题给条件:

Δt=s时,,这是第1个小球和第2个小球相遇而过的时刻.

Δt=2s时,,这是第1个小球和第3个小球相遇而过的时刻.

Δt=3s时,,这是第1个小球和第4个小球相遇而过的时刻.

Δt=4s时,,这是第1个小球和第5个小球相遇而过的时刻.

Δt=5s时,,这是第1个小球和第6个小球相遇而过的时刻.


练习册系列答案
相关题目

违法和不良信息举报电话:027-86699610 举报邮箱:58377363@163.com

精英家教网