题目内容
已知“嫦娥一号”卫星环月工作轨道为圆轨道,轨道距月球表面高度为h,运行周期为T.若还知道月球平均半径R,利用以上条件求:(1)“嫦娥一号”卫星绕月球运行的速度v的大小?
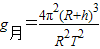
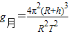
(2)月球表面的重力加速度g月的大小?
【答案】分析:本题关键根据万有引力提供绕月卫星做圆周运动的向心力,以及月球表面重力加速度的表达式,列式求解分析
解答:解:(1)由圆周运动的公式得,“嫦娥一号”卫星绕月球运行的速度:
(2)设月球的质量是M,卫星的质量是m′,由牛顿第二定律得:

在月球的表面质量为m的物体的重力约等于万有引力:
解得:
答:(1)“嫦娥一号”卫星绕月球运行的速度
;(2)月球表面的重力加速度
.
点评:本题关键根据绕月卫星的引力提供向心力列式,再结合月球表面重力等于万有引力列式求解.向心力的公式选取要根据题目提供的已知物理量或所求解的物理量选取应用.
解答:解:(1)由圆周运动的公式得,“嫦娥一号”卫星绕月球运行的速度:
(2)设月球的质量是M,卫星的质量是m′,由牛顿第二定律得:
在月球的表面质量为m的物体的重力约等于万有引力:
解得:
答:(1)“嫦娥一号”卫星绕月球运行的速度
点评:本题关键根据绕月卫星的引力提供向心力列式,再结合月球表面重力等于万有引力列式求解.向心力的公式选取要根据题目提供的已知物理量或所求解的物理量选取应用.
练习册系列答案
相关题目