题目内容
如图所示,A、B是两个摩擦传动的背靠轮,A是主动轮,B是被动轮,它的半径
,a、b两点在轮的边缘,c和d在各轮半径的中点,下列判断正确的是
[ ]
A.
B.
C.
D.
答案:ABD
解析:
解析:
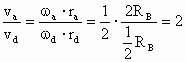
|
由 有:
|
练习册系列答案
相关题目
| A、向心力FA<FB | B、线速度大小相等 | C、向心加速度相等 | D、角速度大小相等 |