题目内容
1930年劳伦斯制成了世界上第一台回旋加速器,其原理如图所示,这台加速器由两个铜质D形盒D1、D2构成,其间留有空隙,则下列有关说法正确的是( )A.离子做圆周运动的周期随半径的增大而增大
B.离子做圆周运动的周期与高频交变电压的周期相同
C.离子从磁场中获得能量
D.离子从电场中获得能量
【答案】分析:回旋加速器靠电场加速和磁场偏转来加速粒子.加速粒子时,交变电场的周期与粒子在磁场中运动的周期相等.
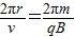
解答:解:A、根据洛伦兹力提供向心力有:
,r=
,则周期T=
,知周期与轨道半径无关.故A错误.
B、回旋加速器中,离子做圆周运动的周期与交变电场的周期相同,保证持续加速.故B正确.
C、回旋加速器是利用电场加速,磁场偏转来加速粒子.故C错误,D正确.
故选BD.
点评:解决本题的关键知道回旋加速器的工作原理,以及知道回旋加速器中交变电场的周期与粒子在磁场中运动的周期相等.
解答:解:A、根据洛伦兹力提供向心力有:
B、回旋加速器中,离子做圆周运动的周期与交变电场的周期相同,保证持续加速.故B正确.
C、回旋加速器是利用电场加速,磁场偏转来加速粒子.故C错误,D正确.
故选BD.
点评:解决本题的关键知道回旋加速器的工作原理,以及知道回旋加速器中交变电场的周期与粒子在磁场中运动的周期相等.
练习册系列答案
相关题目
| A、带电粒子在回旋加速器中从磁场中获得能量 | B、带电粒子在回旋加速器中从电场中获得能量 | C、高频交变电源的电压越大,带电粒子从出口被引出时获得的动能越大 | D、匀强磁场的磁感应强度越大,带电粒子从出口被引出时获得的动能越大 |
| A、离子从D形盒之间空隙的电场中获得能量 | B、回旋加速器只能用来加速正离子 | C、离子在磁场中做圆周运动的周期是加速交变电压周期的一半 | D、离子在磁场中做圆周运动的周期与加速交变电压周期相等 |