ÌâÄ¿ÄÚÈÝ
ÈçͼËùʾ£¬ÓÐÒ»¹â»¬¹ìµÀABC£¬ABΪÊúÖ±Æ½ÃæÄڰ뾶ΪRµÄËÄ·ÖÖ®Ò»Ô²»¡¹ìµÀ£¬BC²¿·ÖΪ×ã¹»³¤µÄˮƽ¹ìµÀ£®Ò»¸öÖÊÁ¿Îªm1µÄСÎïÌå×ÔA´¦Óɾ²Ö¹ÊÍ·Å£¬m1ÑØÔ²»¡¹ìµÀAB»¬Ï£¬ÓëÔÚˮƽ¹ìµÀBCÉÏÖÊÁ¿Îªm2µÄ¾²Ö¹µÄÎïÌåÏàÅö£®£¨1£©Èç¹ûm2ÓëˮƽÇᵯ»ÉÏàÁ¬£¬µ¯»ÉµÄÁíÒ»¶ËÁ¬Ôڹ̶¨×°ÖÃPÉÏ£®m1»¬µ½Ë®Æ½¹ìµÀºóÓëm2·¢ÉúÅöײµ«²»Õ³Á¬£¬Åöײºóm1Óëm2Ò»Æð½«µ¯»ÉѹËõºó±»µ¯»Ø£¬m1Óëm2ÖØÐ·ֿª£®Èôµ¯»ÉѹËõºÍÉ쳤¹ý³ÌÖÐÎÞ»úеÄÜËðʧ£¬ÇÒm1=m2£¬Çóm1·´µ¯ºóÄÜ´ïµ½µÄ×î´ó¸ß¶È£»
£¨2£©Èç¹ûÈ¥µôÓëm2ÏàÁ¬µÄµ¯»É¼°¹Ì¶¨×°ÖÃP£¬m1ÈÔ´ÓA´¦Óɾ²Ö¹ÊÍ·Å£®
a£®Èôm1=
b£®Èôm1Óëm2µÄÅöײ¹ý³ÌÖÐÎÞ»úеÄÜËðʧ£¬ÒªÊ¹m1Óëm2Ö»ÄÜ·¢ÉúÁ½´ÎÅöײ£¬Çó m2Óë m1µÄ±ÈÖµ·¶Î§£®
¡¾´ð°¸¡¿·ÖÎö£º£¨1£©m1´ÓA»¬µ½B»úеÄÜÊØºã£¬ºÍm2·¢ÉúÅöײʱ¶¯Á¿Êغ㣬¾Ý´Ë¿ÉÇó³öÅöײʱµÄ¹²Í¬ËÙ¶È£¬µ±µ¯»É»Ö¸´µ½×ÔÈ»³¤¶Èʱm1Óëm2ÖØÐ·ֿª£¬´Ëʱm1Óëm2µÄËÙ¶ÈÓë´Ë¹²Í¬ËÙ¶ÈÏàµÈ£¬È»ºó¸ù¾Ý»úеÄÜÊØºã¼´¿ÉÇó³öm1ÄÜ´ïµ½µÄ×î´ó¸ß¶È£®
£¨2£©a£®m1Óëm2·¢ÉúÅöײʱ¶¯Á¿Êغãͬʱ»úеÄÜÊØºã£¬¾Ý´ËÇó³öm1ÅöºóËÙ¶È£¬È»ºó¸ù¾Ý»úеÄÜÊØºã¼´¿ÉÇó³öm1ÄÜ´ïµ½µÄ×î´ó¸ß¶È£®
b£®¸ù¾Ým1Óëm2·¢ÉúÅöײʱ¶¯Á¿Êغ㡢»úеÄÜÊØºãÇó³öËûÃǵÄÅöºóËÙ¶È£¬×¢ÒâµÚÒ»´ÎÅöºóm1µÄËÙ¶È´óÓÚm2µÄËÙ¶È£¬µÚ¶þ´Îm1µÄËÙ¶ÈСÓÚm2µÄËÙ¶È£¬¾Ý´Ë¿ÉÕýÈ·½â´ð£®
½â´ð£º½â£º£¨1£©m1´ÓA»¬µ½BÖØÁ¦ÊÆÄÜת»¯Îª¶¯ÄÜ£¬m1µÄËÙ¶È´ïµ½v1
¢Ù
m1Óëm2·¢ÉúÅöײʱµ¯»É´¦ÓÚ×ÔȻ״̬£¬ÏµÍ³¶¯Á¿Êغ㣬ÅöײºóÒÔ¹²Í¬ËÙ¶Èv¹²ÏòÓÒÔ˶¯£®
m1v1+m2v2=£¨m1+m2£©v¹² ¢Ú
ÁªÁ¢¢Ù¢Ú½âµÃ£º
m1Óëm2Ò»Æð½«µ¯»ÉѹËõºóÓÖ±»µ¯»Ø£¬µ±µ¯»É»Ö¸´µ½×ÔÈ»³¤¶Èʱm1Óëm2ÖØÐ·ֿª£¬´Ëʱm1Óëm2µÄËٶȶ¼Îªv¹²£¬m1ÒÔv¹²Îª³õËÙ¶È»¬ÉÏÔ²»¡¹ìµÀ£¬Éèm1ÄÜ´ïµ½µÄ×î´ó¸ß¶ÈÊÇh

½âµÃ
¹Êm1·´µ¯ºóÄÜ´ïµ½µÄ×î´ó¸ß¶ÈΪ£º
£®
£¨2£©³·È¥µ¯»É¼°¹Ì¶¨×°Öúó£®
a£®m1Óëm2·¢ÉúÅöײʱϵͳ¶¯Á¿Êغ㣬ÇÒûÓлúеÄÜËðʧ£®ÉèÏòÓÒΪÕý·½Ïò£¬ÓÐ
¢Û

¢Ü
´úÈë
£¬ÁªÏµ¢Û¢Ü¿ÉµÃ£º
£¬¸ººÅ±íʾm1Ïò×óÔ˶¯
´Ëºóm1³åÉÏÔ²»¡¹ìµÀ£¬Éèm1ÄÜ´ïµ½µÄ×î´ó¸ß¶ÈÊÇh¡ä£¬ÓУº

½«
´øÈëÉÏʽ£¬¿ÉµÃ£º
¹ÊÅöײºóm1ÄÜ´ïµ½µÄ×î´ó¸ß¶ÈΪ£º
£®
b£®m1»¬µ½Ë®Æ½¹ìµÀÒÔËÙ¶Èv1Óë¾²Ö¹µÄm2·¢ÉúµÚÒ»´ÎÅöײ£¬ÉèÏòÓÒΪÕý·½Ïò£¬ÓÐ

½âµÃ£º
£¬
ÒªÄÜ·¢ÉúµÚ¶þ´ÎÅöײµÄÌõ¼þÊÇ
£¬¼´m1£¼m2£»ÇÒ|
|£¾
£¬¼´|m1-m2|£¾2m1£¬¿ÉµÃ
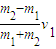
m2£¾3m1 ¢Ý
m1´ÓÔ²»¡¹ìµÀÉÏ»¬Ï£¬ÒÔ´óСΪ|
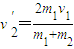
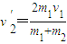
|=
µÄËÙ¶ÈÓëËÙ¶ÈΪ
µÄm2·¢ÉúµÚ¶þ´ÎÅöײ£¬ÓУº


=
µÚ¶þ´ÎÅöºóm1ºÍ m2µÄËÙ¶È
¢Þ
¢ß
²»·¢ÉúµÚÈý´ÎÅöײµÄÌõ¼þΪ£º|
|¡Ü
Ôò£º-4m1£¨m2-m1£©¡Ü
¡Ü4m1£¨m2-m1£©
½â²»µÈʽ
µÃ£º
¢à
½â²»µÈʽ£º
µÃ m2¡Ý3m1 »òm2¡Ü-m1 ¢á£¨9£©
×ۺϢݡ¢¢à¡¢¢á£¬m1Óëm2Ö»ÄÜ·¢ÉúÁ½´ÎÅöײµÄÌõ¼þΪ£º
¹ÊҪʹm1Óëm2Ö»ÄÜ·¢ÉúÁ½´ÎÅöײ£¬m2Óë m1µÄ±ÈÖµ·¶Î§Îª£º
£®
µãÆÀ£º±¾Ì⿼²éÁ˶¯Á¿ºÍÄÜÁ¿ÎÊÌ⣬ÓÐÒ»¶¨µÄÄѶȣ¬ÄѵãÔÚÓÚÊýѧÔËË㣬Òò´ËƽʱѵÁ·ÖÐҪעÒâÊýѧ֪ʶÔÚÎïÀíÖеÄÓ¦Óã®
£¨2£©a£®m1Óëm2·¢ÉúÅöײʱ¶¯Á¿Êغãͬʱ»úеÄÜÊØºã£¬¾Ý´ËÇó³öm1ÅöºóËÙ¶È£¬È»ºó¸ù¾Ý»úеÄÜÊØºã¼´¿ÉÇó³öm1ÄÜ´ïµ½µÄ×î´ó¸ß¶È£®
b£®¸ù¾Ým1Óëm2·¢ÉúÅöײʱ¶¯Á¿Êغ㡢»úеÄÜÊØºãÇó³öËûÃǵÄÅöºóËÙ¶È£¬×¢ÒâµÚÒ»´ÎÅöºóm1µÄËÙ¶È´óÓÚm2µÄËÙ¶È£¬µÚ¶þ´Îm1µÄËÙ¶ÈСÓÚm2µÄËÙ¶È£¬¾Ý´Ë¿ÉÕýÈ·½â´ð£®
½â´ð£º½â£º£¨1£©m1´ÓA»¬µ½BÖØÁ¦ÊÆÄÜת»¯Îª¶¯ÄÜ£¬m1µÄËÙ¶È´ïµ½v1
m1Óëm2·¢ÉúÅöײʱµ¯»É´¦ÓÚ×ÔȻ״̬£¬ÏµÍ³¶¯Á¿Êغ㣬ÅöײºóÒÔ¹²Í¬ËÙ¶Èv¹²ÏòÓÒÔ˶¯£®
m1v1+m2v2=£¨m1+m2£©v¹² ¢Ú
ÁªÁ¢¢Ù¢Ú½âµÃ£º
m1Óëm2Ò»Æð½«µ¯»ÉѹËõºóÓÖ±»µ¯»Ø£¬µ±µ¯»É»Ö¸´µ½×ÔÈ»³¤¶Èʱm1Óëm2ÖØÐ·ֿª£¬´Ëʱm1Óëm2µÄËٶȶ¼Îªv¹²£¬m1ÒÔv¹²Îª³õËÙ¶È»¬ÉÏÔ²»¡¹ìµÀ£¬Éèm1ÄÜ´ïµ½µÄ×î´ó¸ß¶ÈÊÇh
½âµÃ
¹Êm1·´µ¯ºóÄÜ´ïµ½µÄ×î´ó¸ß¶ÈΪ£º
£¨2£©³·È¥µ¯»É¼°¹Ì¶¨×°Öúó£®
a£®m1Óëm2·¢ÉúÅöײʱϵͳ¶¯Á¿Êغ㣬ÇÒûÓлúеÄÜËðʧ£®ÉèÏòÓÒΪÕý·½Ïò£¬ÓÐ
´úÈë
´Ëºóm1³åÉÏÔ²»¡¹ìµÀ£¬Éèm1ÄÜ´ïµ½µÄ×î´ó¸ß¶ÈÊÇh¡ä£¬ÓУº
½«
¹ÊÅöײºóm1ÄÜ´ïµ½µÄ×î´ó¸ß¶ÈΪ£º
b£®m1»¬µ½Ë®Æ½¹ìµÀÒÔËÙ¶Èv1Óë¾²Ö¹µÄm2·¢ÉúµÚÒ»´ÎÅöײ£¬ÉèÏòÓÒΪÕý·½Ïò£¬ÓÐ
½âµÃ£º
ÒªÄÜ·¢ÉúµÚ¶þ´ÎÅöײµÄÌõ¼þÊÇ
m2£¾3m1 ¢Ý
m1´ÓÔ²»¡¹ìµÀÉÏ»¬Ï£¬ÒÔ´óСΪ|
µÚ¶þ´ÎÅöºóm1ºÍ m2µÄËÙ¶È
²»·¢ÉúµÚÈý´ÎÅöײµÄÌõ¼þΪ£º|
Ôò£º-4m1£¨m2-m1£©¡Ü
½â²»µÈʽ
µÃ£º
½â²»µÈʽ£º
µÃ m2¡Ý3m1 »òm2¡Ü-m1 ¢á£¨9£©
×ۺϢݡ¢¢à¡¢¢á£¬m1Óëm2Ö»ÄÜ·¢ÉúÁ½´ÎÅöײµÄÌõ¼þΪ£º
¹ÊҪʹm1Óëm2Ö»ÄÜ·¢ÉúÁ½´ÎÅöײ£¬m2Óë m1µÄ±ÈÖµ·¶Î§Îª£º
µãÆÀ£º±¾Ì⿼²éÁ˶¯Á¿ºÍÄÜÁ¿ÎÊÌ⣬ÓÐÒ»¶¨µÄÄѶȣ¬ÄѵãÔÚÓÚÊýѧÔËË㣬Òò´ËƽʱѵÁ·ÖÐҪעÒâÊýѧ֪ʶÔÚÎïÀíÖеÄÓ¦Óã®
Á·Ï°²áϵÁдð°¸
Ïà¹ØÌâÄ¿