题目内容

一高台(离水面10m)跳水运动员以6m/s的速度竖直向上跳出,设起跳运动员重心在平台以上1m高处的O点,求运动员(重心)离开O点1.6m的运动时间.()

答案:略
解析:

分别可能为0.4s0.8s

运动员做初速度竖直向上为6m/s、加速度竖直向下为的匀变速直线运动.取竖直向上为正方向求解.

取竖直向上为正方向,

设经历时间为t

当经O点以上1.6处时,

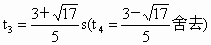
解得

当经O点以下1.6m处时,

解得

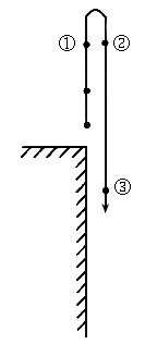
匀变速直线运动中,sva均为矢量,这些物理量的矢量性有时会带来多解问题,本题有三种可能.示意如图中①②③.


练习册系列答案
相关题目

违法和不良信息举报电话:027-86699610 举报邮箱:58377363@163.com

精英家教网