ÌâÄ¿ÄÚÈÝ

ÈçͼËùʾÊÇijͬѧ²âÁ¿ÔȱäËÙÖ±ÏßÔ˶¯µÄ¼ÓËÙ¶Èʱ£¬´ÓÈô¸ÉÖ½´øÖÐÑ¡ÖеÄÒ»ÌõÖ½´øµÄÒ»²¿·Ö£¬ËûÒÔÿ5¸ö´òµãȡһ¸ö¼ÆÊýµã£¬Í¼ÉÏ×¢Ã÷ÁËËû¶Ô¸÷¸ö¼ÆÊýµã¼ä¾àÀëµÄ²âÁ¿½á¹û£®(µ¥Î»£ºcm)

(1)ΪÁËÑé֤С³µµÄÔ˶¯ÊÇÔȱäËÙÔ˶¯£¬Çë½øÐÐÏÂÁмÆË㣬ÌîÈë±íÄÚ£®(µ¥Î»£ºcm)

¸÷Î»ÒÆ²îÓëÆ½¾ùÖµ×î¶àÏà²î______cm£¬¼´¸÷Î»ÒÆ²îÓëÆ½¾ùÖµ×î¶àÏà²î_____£¥£®Óɴ˿ɵóö½áÂÛ£ºÐ¡³µÔÚ_____µÄÎ»ÒÆÖ®²î£¬ÔÚ_____·¶Î§ÄÚÏà³Ë£¬ËùÒÔС³µµÄÔ˶¯ÊÇ_______£®

(2)¸ù¾Ý£¬¿ÉÒÔÇó³ö£º_______£¬_______£¬_______£¬ËùÒÔ_______£®

´ð°¸£ºÂÔ
½âÎö£º

(1)£»£»£»£»£»£®¸÷Î»ÒÆ²îÓëÆ½¾ùÖµ×î¶àÏà²î0.05cm£¬¼´¸÷Î»ÒÆ²îÓëÆ½¾ùÖµ×î¶àÏà²î3.3£¥£®Óɴ˿ɵóö½áÂÛ£ºÐ¡³µÔÚÈÎÒâÁ½¸öÁ¬ÐøÏàµÈµÄʱ¼äÄÚµÄÎ»ÒÆÖ®²î£¬ÔÚÎó²îÔÊÐí·¶Î§ÄÚÏàµÈ£¬ËùÒÔС³µµÄÔ˶¯ÊÇÔȼÓËÙÖ±ÏßÔ˶¯£®

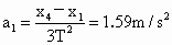
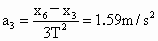
(2)²ÉÓÃÖð²î·¨£¬¼´

£¬

£¬

£¬

£®


Á·Ï°²áϵÁдð°¸
Ïà¹ØÌâÄ¿

Î¥·¨ºÍ²»Á¼ÐÅÏ¢¾Ù±¨µç»°£º027-86699610 ¾Ù±¨ÓÊÏ䣺58377363@163.com

¾«Ó¢¼Ò½ÌÍø