题目内容
如图所示,AB两种物体叠放于光滑水平地面上,物体A可视为质点,平板B长度为L,其左端通过水平细线连接于竖直墙上,开始时物体A以初速度vO滑上平板B的左端,经时间t到达平板的右端.重力加速度为g,利用以上数据,可以计算出( )A.物体到达平板右端的动能
B.物体与平板间的动摩擦因数
C.物体运动的加速度
D.绳对木板的拉力
【答案】分析:A在B上做匀减速直线运动,根据运动学基本公式即可求解加速度和动摩擦因数,由于不知道A物体的质量,所以无法求动能及绳对木板的拉力.
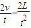
解答:解:A在B上做匀减速直线运动,根据牛顿第二定律得:a=
=μg
根据L=
解得:a=
,故C正确;
所以μ=
,故B正确;
因为不知道A物体的质量,所以无法求出物体到达平板右端的动能,故A错误;
因为不知道A物体的质量,所以无法求出A对B的摩擦力大小,所以也无法求出绳对木板的拉力,故D错误.
故选BC
点评:本题主要考查了牛顿第二定律及运动学基本公式的直接应用,难度适中.
解答:解:A在B上做匀减速直线运动,根据牛顿第二定律得:a=
根据L=
解得:a=
所以μ=
因为不知道A物体的质量,所以无法求出物体到达平板右端的动能,故A错误;
因为不知道A物体的质量,所以无法求出A对B的摩擦力大小,所以也无法求出绳对木板的拉力,故D错误.
故选BC
点评:本题主要考查了牛顿第二定律及运动学基本公式的直接应用,难度适中.
练习册系列答案
相关题目