题目内容
某物理实验小组在成都七中游泳池做了一个实验:将一个小木球离水面5m高静止释放(不计空气阻力),经1.40s后落入池底速度刚好为零.假定木球在水中做匀减速运动,重力加速度g=10m/s2.求:(1)木球在水中运动的加速度的大小
(2)游泳池水的深度.
【答案】分析:(1)小木球离水面5m高静止释放,做自由落体运动直到水面,根据位移时间公式求出时间,根据速度时间公式求出落水时的速度,再根据
即可求得加速度;
(2)根据平均速度乘以时间即可求解.
解答:解:(1)小木球离水面5m高静止释放,做自由落体运动直到水面,根据位移时间公式得:

解得:t1=1s
所以 v1=gt1=10m/s
在水中运动的时间为:t2=1.4-t1
所以
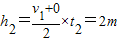
(2)木球在水中做匀加速直线运动,平均速度等于
所以:
答:(1)木球在水中运动的加速度的大小为25m/s2;
(2)游泳池水的深度为2m.
点评:该题主要考查了自由落体运动及匀减速直线运动基本公式的应用,难度不大,属于基础题.
(2)根据平均速度乘以时间即可求解.
解答:解:(1)小木球离水面5m高静止释放,做自由落体运动直到水面,根据位移时间公式得:
解得:t1=1s
所以 v1=gt1=10m/s
在水中运动的时间为:t2=1.4-t1
所以
(2)木球在水中做匀加速直线运动,平均速度等于
所以:
答:(1)木球在水中运动的加速度的大小为25m/s2;
(2)游泳池水的深度为2m.
点评:该题主要考查了自由落体运动及匀减速直线运动基本公式的应用,难度不大,属于基础题.
练习册系列答案
相关题目