题目内容

1990年4月25日,科学家将哈勃天文望远镜送上距地球表面约600 km的高空,使得人类对宇宙中星体的观测与研究有了极大的进展.假设哈勃望远镜沿圆轨道绕地球运行.已知地球半径为6.4×106 m,利用地球同步卫星与地球表面的距离为3.6×107 m这一事实可得到哈勃望远镜绕地球运行的周期.以下数据中最接近其运行周期的是

A.0.6小时

B.1.6小时

C.4.0小时

D.24小时

答案:B
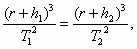
解析:

由开普勒行星运动定律可知:=恒量,所以对哈勃望远镜和地球同步卫星有其中r为地球的半径,h1、T1、h2、T2分别表示望远镜到地表的距离、望远镜的周期、同步卫星距地表的距离、同步卫星的周期(24 h),代入数据解得t1=1.6 h,所以本题正确选项为B.


练习册系列答案
相关题目

违法和不良信息举报电话:027-86699610 举报邮箱:58377363@163.com

精英家教网