题目内容

某小报载:×年×月×日,×国发射了一颗质量为100kg,周期为1h的人造环月卫星.一位同学记不住引力常量G的数值,且手边没有可查找的资料,但他记得月球半径约为地球半径的1/4,月球表面重力加速度为地球表面重力加速度的1/6,经过推理,他认定该报道是则假新闻,试写出他的论证方案(地球半径约为).

答案:略
解析:

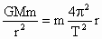
解:根据万有引力定律和牛顿第二定律得

解得,而

星球表面的重力加速度g、小星球质量M、星球半径r的关系式

代入数据解得

环月卫星最小周期为1.72h,故该报道是假新闻.

人造环月卫星的向心力就是卫星所受的万有引力.月球表面附近的卫星运动周期是环月卫星的最小周期.


练习册系列答案
相关题目

违法和不良信息举报电话:027-86699610 举报邮箱:58377363@163.com

精英家教网