题目内容
如图所示,A、B两物体的质量都为m,拉A物体的细线与水平方向的夹角为30°时处于静止状态,不考虑摩擦力,设弹簧的劲度系数为k.若悬线突然断开后,A在水平面上做周期为T的简谐运动,当B落地时,A恰好将弹簧压缩到最短,求:
![]()
⑴A振动时的振幅;
⑵B落地时的速度.
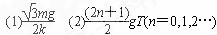
【答案】
![]()
【解析】
![]()
![]()
练习册系列答案
相关题目
| A、角速度ωA=ωB | B、线速度vA=vB | C、向心加速度aA>aB | D、向心力FA>FB |
| A、方向向左,大小不变 | B、方向向左,逐渐减小 | C、方向向右,大小不变 | D、方向向右,逐渐减小 |