题目内容
A.副线圈交变电流的频率是100 Hz
B.t=ls时,电压表的示数为0
C.电流表的示数为1A
D.变压器的输入电功率为220W
【答案】分析:根据电压与匝数程正比,电流与匝数成反比,变压器的输入功率和输出功率相等,逐项分析即可得出结论.
解答:解:A、由
(V)可知,交流电源的频率为50 Hz,变压器不改变交变电流的频率,选项A错误;
B、t=1s时,电源电压的瞬时值为0,而电压表测的是电阻两端电压的有效值,由
得,u2=44V,即电压表的示数是44V,故选项B错误;
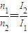
C、由
得通过电流表的电流为1A,选项C正确.
D、通过电阻R的电流是5A,电阻R消耗的电功率为220W,选项D正确;
故选:CD
点评:本题考查的是学生读图的能力,根据图象读出交流电的最大值和周期,根据电压和匝数之间的关系即可求得.
解答:解:A、由
B、t=1s时,电源电压的瞬时值为0,而电压表测的是电阻两端电压的有效值,由
C、由
D、通过电阻R的电流是5A,电阻R消耗的电功率为220W,选项D正确;
故选:CD
点评:本题考查的是学生读图的能力,根据图象读出交流电的最大值和周期,根据电压和匝数之间的关系即可求得.
练习册系列答案
相关题目