ÌâÄ¿ÄÚÈÝ

ÔÚÒ»´Î¿¹ºéÇÀÏջÖУ¬½â·Å¾üij²¿¶¯ÓÃÖ±Éý·É»úÇÀ¾ÈÒ»ÖØÒªÂäË®ÎïÌ壬¾²Ö¹ÔÚ¿ÕÖеÄÖ±Éý·É»úÉϵĵ綯»úͨ¹ýÐüÉþ½«ÎïÌå´ÓÀë·É»ú90m´¦µÄºéË®Öеõµ½»ú²ÕÀÒÑÖªÎïÌåµÄÖÊÁ¿Îª80kg£¬µõÉþµÄÀ­Á¦²»Äܳ¬¹ý1200N£¬µç¶¯»úµÄ×î´óÊä³ö¹¦ÂÊΪ12kw£¬Îª¾¡¿ì°ÑÎïÌ尲ȫ¾ÈÆð£¬²Ù×÷ÈËÔ±²ÉÈ¡µÄ°ì·¨ÊÇ£¬ÏÈÈõõÉþÒÔ×î´óµÄÀ­Á¦¹¤×÷Ò»¶Îʱ¼ä£¬¶øºóµç¶¯»úÓÖÒÔ×î´ó¹¦Âʹ¤×÷£¬µ±ÎïÌåµ½´ï»ú²ÕʱǡºÃ´ïµ½×î´óËÙ¶È£®(gÈ¡)Çó£º

(1)ÂäË®ÎïÌå¸Õµ½´ï»ú²ÕʱµÄËÙ¶È£»

(2)ÕâÒ»¹ý³ÌËùÓõÄʱ¼ä£®

´ð°¸£º15m/s;7.75s
½âÎö£º

(1)µÚÒ»½×¶ÎÉþÒÔ×î´óÀ­Á¦À­×ÅÎïÌåÔȼÓËÙÉÏÉý£¬µ±µç¶¯»ú´ïµ½×î´ó¹¦ÂÊʱ£¬¹¦Âʱ£³Ö²»±ä£¬ÎïÌå±ä¼ÓËÙÉÏÉý£¬ËÙ¶ÈÔö´ó£¬À­Á¦¼õС£¬µ±À­Á¦ÓëÖØÁ¦ÏàµÈʱËÙ¶È´ïµ½×î´ó£®

ÓÉ£¬µÄ×î´óËÙ¶ÈΪ

£®

(2)ÎïÌåÔÚÔȼÓËÙÔ˶¯¹ý³ÌÖеļÓËÙ¶ÈΪ

£¬

Ä©ËÙ¶ÈΪ

£®

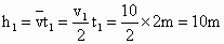
ÉèÔȼÓËÙÉÏÉýµÄʱ¼äΪ£¬ÓɵÃ

£®

ÉÏÉýµÄ¸ß¶ÈΪ

£®

ÒÔ×î´ó¹¦ÂÊÉÏÉý¹ý³Ì£¬Óɶ¯Äܶ¨ÀíµÃ

£¬

½âµÃ

£®

ËùÒÔµõÆðÂäË®µÄÎïÌåËùÓÃ×Üʱ¼äΪ

£®


Á·Ï°²áϵÁдð°¸
Ïà¹ØÌâÄ¿

Î¥·¨ºÍ²»Á¼ÐÅÏ¢¾Ù±¨µç»°£º027-86699610 ¾Ù±¨ÓÊÏ䣺58377363@163.com

¾«Ó¢¼Ò½ÌÍø