题目内容
如图所示,光滑绝缘的正方形水平桌面边长为d=0.48m,离地高度h=1.25m.桌面上存在一水平向左的匀强电场(其余位置均无电场),电场强度E=1×104N/C.在水平桌面上某一位置P处有一质量m=0.01kg,电量q=1×10-6C的带正电小球以初速v=1m/s向右运动.空气阻力忽略不计,重力加速度g=10m/s2(1)求小球在桌面上运动时的加速度;
(2)P处距右端桌面多远时,小球从开始运动到最终落地的水平距离最大,并求出该最大水平距离.
【答案】分析:(1)对小球受力分析,受到重力、支持力和电场力,根据牛顿第二定律列式求加速度即可;
(2)先假设桌面足够长,计算出速度减为零需要的减速距离,判断出小球只能从右侧滚下,然后根据运动学公式求出平抛的初速度,再结合平抛运动的知识求得射程的一般表达式,得到初末位置的水平距离,根据数学知识得到最大值.
解答:解:(1)对小球受力分析,受到重力、支持力和电场力,重力和支持力平衡,根据牛顿第二定律,有
方向:水平向左
(2)球先向右减速,假设桌面足够长,减为零的过程,有
=0.5m,大于桌面边长,故小球一直减速;
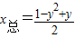
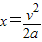
设球到桌面右边的距离为x1,球离开桌面后作平抛运动的水平距离为x2,则x总=x1+x2
由v2-v2=-2ax1
代入得 v=
=
设平抛运动的时间为t,根据平抛运动的分位移公式,有
代入得t=0.5s
水平方向,有

故
令
则 
故,当
即
时,水平距离最大
最大值为:
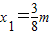
即距桌面右端
m处放入,有最大水平距离为
m.
点评:本题关键根据牛顿第二定律求出加速度后,结合平抛运动的分位移公式得出初末位置的水平距离表达式,最后根据数学知识求极大值.
(2)先假设桌面足够长,计算出速度减为零需要的减速距离,判断出小球只能从右侧滚下,然后根据运动学公式求出平抛的初速度,再结合平抛运动的知识求得射程的一般表达式,得到初末位置的水平距离,根据数学知识得到最大值.
解答:解:(1)对小球受力分析,受到重力、支持力和电场力,重力和支持力平衡,根据牛顿第二定律,有
(2)球先向右减速,假设桌面足够长,减为零的过程,有
设球到桌面右边的距离为x1,球离开桌面后作平抛运动的水平距离为x2,则x总=x1+x2
由v2-v2=-2ax1
代入得 v=
设平抛运动的时间为t,根据平抛运动的分位移公式,有
代入得t=0.5s
水平方向,有
故
令
故,当
最大值为:
即距桌面右端
点评:本题关键根据牛顿第二定律求出加速度后,结合平抛运动的分位移公式得出初末位置的水平距离表达式,最后根据数学知识求极大值.
练习册系列答案
相关题目
| A、线框有一阶段在做匀加速运动 | B、线框ab边在刚进入磁场时可能做加速运动 | C、线框ab边在刚穿出磁场时一定是先做减速运动 | D、线框中产生的热量为F(d+S+L) |