题目内容

(综合提升)如图所示,小球从光滑的圆弧轨道下滑至水平轨道末端时,光电装置被触动,控制电路会使转筒立刻以某一角速度匀速连续转动起来.转筒的底面半径为R,已知轨道末端与转筒上部相平,与转筒的转轴距离为L,且与转筒侧壁上的小孔的高度差为h;开始时转筒静止,且小孔正对着轨道方向.现让一小球从圆弧轨道上的某处无初速滑下,若正好能钻入转筒的小孔(小孔比小球略大,小球视为质点,不计空气阻力,重力加速度为g),求:

(1)小球从圆弧轨道上释放时的高度H

(2)转筒转动的角速度ω.

答案:
解析:

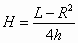
  答案:(1)

  (2)nπ(n=1,2,3……)

  解析:(1)设小球离开轨道进入小孔的时间为t,则由平抛运动规律得

  hgt2LRv0t

  小球在轨道上运动过程中机械能守恒,

  故有mgH

  联立解得:t

  (2)在小球做平抛运动的时间内,圆筒必须恰好转整数转,小球才能钻进小孔,

  即ωt=2nπ(n=1,2,3……).

  所以ω=nπ(n=1,2,3……).


练习册系列答案
相关题目

违法和不良信息举报电话:027-86699610 举报邮箱:58377363@163.com

精英家教网