题目内容
如图所示,一理想变压器的原、副线圈匝数之比n1:n2=1:5,已知接在原线圈上交流电源的电动势e=311sin(100πt)V,电流表的示数为10A,连接副线圈与负载的导线的总电阻R=10Ω.求:(1)接在副线圈两端的电压表的示数;
(2)负载消耗的电功率.
【答案】分析:根据理想变压器中原副线圈的电压与匝数比之间关系及欧姆定律求解,注意电压表示数为有效值.
解答:解:
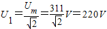
(1)由e=311sin(100πt)V可知加在原线圈上电压的有效值
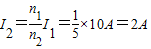
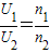
根据
得副线圈两端的电压为:
,即电压表的示数是1100V
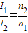
(2)根据
得副线圈中的电流为 
导线上损耗的功率为:
原线圈上输入的功率为:P1=U1I1=220×10=2200W
因为是理想变压器,所以副线圈输出的功率P2=P1=2200W
负载上消耗的电功率为:P=P2-P损=2200-40=2160W
答:(1)接在副线圈两端的电压表的示数1100V;
(2)负载消耗的电功率2200W.
点评:要根据理想变压器中电压与匝数比之间的关系进行有关问题的解答,注意电表的示数均为有效值.此题属于中档题.
解答:解:
(1)由e=311sin(100πt)V可知加在原线圈上电压的有效值
根据
(2)根据
导线上损耗的功率为:
原线圈上输入的功率为:P1=U1I1=220×10=2200W
因为是理想变压器,所以副线圈输出的功率P2=P1=2200W
负载上消耗的电功率为:P=P2-P损=2200-40=2160W
答:(1)接在副线圈两端的电压表的示数1100V;
(2)负载消耗的电功率2200W.
点评:要根据理想变压器中电压与匝数比之间的关系进行有关问题的解答,注意电表的示数均为有效值.此题属于中档题.
练习册系列答案
相关题目