题目内容
从静止开始做匀加速直线运动的物体,第2s 内通过的位移为0.9m,则( )A.第ls末的速度为0.8 m/s
B.第ls内通过的位移是0.45 m
C.加速度为0.6 m/s2
D.前3s内的位移是l.2 m
【答案】分析:第2s内位移等于前2s内与前1s内位移之差,根据位移公式列式
,求出加速度.有了加速度就可以求解其它各量:第ls末的速度v1=at1;第ls内通过的位移
;
前3s内的位移
.
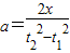
解答:解:设加速度大小为a,则有:
得:
=
.
则,第ls末的速度v1=at1=0.6×1m/s=0.6m/s
第ls内通过的位移
前3s内的位移
右上计算可知,ABD均错误,只有C正确.
故选C.
点评:本题运用匀变速直线运动的基本公式研究初速度为零的匀加速运动问题,也可以通过图象研究.
前3s内的位移
解答:解:设加速度大小为a,则有:
得:
则,第ls末的速度v1=at1=0.6×1m/s=0.6m/s
第ls内通过的位移
前3s内的位移
右上计算可知,ABD均错误,只有C正确.
故选C.
点评:本题运用匀变速直线运动的基本公式研究初速度为零的匀加速运动问题,也可以通过图象研究.
练习册系列答案
相关题目