题目内容
A.一条直线
B.圆
C.抛物线
D.椭圆
【答案】分析:要讨论对应的位置为P1,P2,P3…,这些位置连成的图线对应的关系,需要求解出竖直方向的位移Y与水平方向的位移x之间的关系.然后再进行说明.
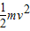
解答:解:设经过时间t时带电粒子的末动能是初动能的4倍,这时的水平位移x,竖直位移y,则:x=vt,


联立以上3个公式得:
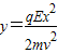
①
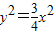
电场力做功:W=qEy=3?
整理得:
②
①×②得:
即:
所以,对于每一个粒子,当这些带电粒子的末动能是初动能的4倍时,都满足:
.所以对应的位置为P1,P2,P3…,则这些位置连成的图线为直线.故A正确,BCD错误.
故选:A
点评:该题中,求解出竖直方向的位移Y与水平方向的位移x之间的关系是解决问题的关键.
解答:解:设经过时间t时带电粒子的末动能是初动能的4倍,这时的水平位移x,竖直位移y,则:x=vt,
联立以上3个公式得:
电场力做功:W=qEy=3?
整理得:
①×②得:
即:
所以,对于每一个粒子,当这些带电粒子的末动能是初动能的4倍时,都满足:
故选:A
点评:该题中,求解出竖直方向的位移Y与水平方向的位移x之间的关系是解决问题的关键.
练习册系列答案
相关题目