题目内容

如图所示,xOy平面是无穷大导体的表面,该导体充满z<0的空间,z>0的空间为真空.将电荷为q的点电荷置于z轴上z=h处,则在xOy平面上会产生感应电荷.空间任意一点处的电场皆是由点电荷q和导体表面上的感应电荷共同激发的.已知静电平衡时导体内部场强处处为零,则在z轴上z=h/2处的场强大小为(k为静电力常量)( )
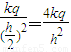
A.
B.
C.
D.
【答案】分析:根据对称性,感应电荷在导体内外两侧空间产生的电场强度的大小相等,方向相反;而内部一点的电场强度为q和感应电荷产生的电场强度的合矢量.
解答:解:在z轴上-处,合场强为零,该点场强为q和导体近端感应电荷产生电场的场强的矢量和;
q在处产生的场强为:
由于导体远端离-处很远,影响可以忽略不计,故导体在-处产生场强近似等于近端在-处产生的场强;
-处场强为:0=E1+E2,故
根据对称性,导体近端在处产生的场强为
电荷q在处产生的场强为:
处的合场强为:
故选D.
点评:本题考查了导体的静电平衡和场强的叠加原理,要结合对称性进行近似运算,难题.
练习册系列答案
相关题目

违法和不良信息举报电话:027-86699610 举报邮箱:58377363@163.com

精英家教网