题目内容
质量为m=10kg的物体A在水平推力F=100N力的作用下,从静止开始做匀加速直线运动,已知A与地面的动摩擦因素为μ=0.2,g=10米/秒.求:(1)物体A的加速度
(2)若外力只作用1s钟,求A从静止开始到最后静止的位移共为多大.
【答案】分析:(1)求出物体的合力,根据牛顿第二定律求出物体运动的加速度.
(2)根据匀变速直线运动的公式求出匀加速运动的位移,再根据牛顿第二定律求出匀减速运动的加速度,从而得出匀减速运动的位移,两个位移之和为最后的总位移.
解答:解:(1)根据牛顿第二定律:F-μmg=ma
a=8m/s2
故物体A的加速度为8m/s2.
(2)外力作用1s内位移:
撤力时速度v=at=8m/s
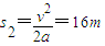
撤力后加速度a=μg=2m/s2

位移共为s=s1+s2=20m
故A从静止开始到最后静止的位移共为20m.
点评:解决本题的关键正确地进行受力分析,以及知道加速度是联系运动学和力学的桥梁,本题根据力求运动.
(2)根据匀变速直线运动的公式求出匀加速运动的位移,再根据牛顿第二定律求出匀减速运动的加速度,从而得出匀减速运动的位移,两个位移之和为最后的总位移.
解答:解:(1)根据牛顿第二定律:F-μmg=ma
a=8m/s2
故物体A的加速度为8m/s2.
(2)外力作用1s内位移:
撤力时速度v=at=8m/s
撤力后加速度a=μg=2m/s2
位移共为s=s1+s2=20m
故A从静止开始到最后静止的位移共为20m.
点评:解决本题的关键正确地进行受力分析,以及知道加速度是联系运动学和力学的桥梁,本题根据力求运动.
练习册系列答案
相关题目