题目内容

如图是一列简谐横波在传播方向上相距为3m的A,B两点的振动图像,已知该波的波长小于5m,求此列波的最大波长λm和最大波速vm

答案:
解析:

  从振动图像可知,周期T=4×10-2s,且t=0时刻,A位于平衡位置向正方向运动,B位于负向最大位移处.

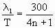
  转换成波动图像,选取t=0时刻,画出t=0时刻A,B间的最简波形图如图b、c所示。波由A向B传播时,有:

      3=(n+1,  λ1

由题意λ<5m,可知n取1,2……

      v1,(n=1,2,…)

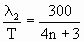
  波由B向A传播时有:

      3=(n+2  λ2

由题意λ<5m知n取0,1,2…

      v2,n=0,1,2.……

  综上所述,可知λm=4m,vm=100m/s


练习册系列答案
相关题目

违法和不良信息举报电话:027-86699610 举报邮箱:58377363@163.com

精英家教网