题目内容

某探究小组设计了“用一把尺子测定动摩擦因数”的实验方案。如图所示,将一个小球和一个滑块用细绳连接,跨在斜面上端,开始时小球和滑块均静止,剪断细绳后,小球自由下落,滑块沿斜面下滑,可先后昕到小球落地和滑块撞击挡板的声音。保持小球和滑块释放的位置不变,调整挡板位置,重复以上操作,直到能同时听到小球落地和滑块撞击挡板的声音,用刻度尺测出小球下落的高度H、滑块释放点与挡板处的高度差h和沿斜面运动的位移x。(空气阻力对本实验的影响可以忽略),问:

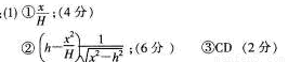
①滑块沿斜面运动的加速度与重力加速度的比值为         

②滑块与斜面间的动摩擦因数为          

③以下能引起实验误差的是         (选填答案番号)

A.滑块的质量      B.当地重力加速度的大小

C.长度测量时的读数误差   D.听到小球落地和滑块撞击挡板声音的时间不同

 

【答案】

 

【解析】略

 

练习册系列答案
相关题目
(1)在用电磁打点计时器研究做匀变速直线运动的实验中,请完成下列问题:
①除已选有电磁打点计时器(包括复写纸片)、一端附有定滑轮的长木板、小车、纸带、细绳、钩码、、导线外.还应在如下的器材中选用
BE
BE

A、电压为4~6V的直流电源;B、电压为4~6V的交流电源;C、220V的直流电源;D.220V的交流电源;E.毫米刻度尺;F、天平;G、秒表.
②如图是某同学在实验中获得的一条纸带.ABCD是纸带上四个计数点,每两个相邻计数点间还有四个点没有画出,已知打点计时器电源频率为50Hz.则:纸带上打相邻两点的时间间隔为
0.02
0.02
s.从图中读出A、B两点间距s=
0.70
0.70
cm;C点对应的速度是
0.100
0.100
 m/s;小车运动的加速度是
0.200
0.200
m/s2(计算结果保留三位有效数字).

(2)某探究小组设计了“用一把尺子测定动摩擦因数”的实验方案.如图甲所示,将一个小球和一个滑块用细绳连接,跨在斜面上端.开始时小球和滑块均静止,剪短细绳后,小球自由下落,滑块沿斜面下滑,可先后听到小球落地和滑块撞击挡板的声音,保持小球和滑块释放的位置不变,调整挡板位置,重复以上操作,直到能同时听到小球落地和滑块撞击挡板的声音.用刻度尺测出小球下落的高度H、滑块释放点与挡板处的高度差h和沿斜面运动的位移L(空气阻力对本实验的影响可以忽略)

①滑块沿斜面运动的加速度与重力加速度的比值为
L
H
L
H

②滑块与斜面间的动摩擦因数为
hH-L2
H
L2-h2
hH-L2
H
L2-h2

③小组成员在分析实验误差的时认为除空气阻力外,小球的大小也会引起实验的误差,因此,该小组同学用10分度的游标尺测出其直径,游标尺的示数如图乙所示,则小球的直径为
9.7×10-3
9.7×10-3
m;他们的分析是否正确?
不正确
不正确
(只答正确与否,不说原因).

违法和不良信息举报电话:027-86699610 举报邮箱:58377363@163.com

精英家教网