题目内容

随着航天技术的发展,许多实验可以搬到太空中进行.飞船绕地球做匀速圆周运动时,无法用天平称量物体的质量.假设某宇航员在这种环境下设计了如图所示装置(图中O为光滑的小孔)来间接测量物体的质量:给待测物体一个初速度,使它在桌面上做匀速圆周运动.设飞船中带有基本的测量工具……

(1)物体与桌面间的摩擦力可以忽略不计,原因是________

(2)实验时需要测量的物理量是弹簧秤示数F、圆周运动的周期T________

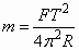
(3)待测物体质量的表达式为________

答案:
解析:

  (1)物体与接触面间没有压力,摩擦力为零

  (2)圆周运动的半径R

  (3)


练习册系列答案
相关题目

违法和不良信息举报电话:027-86699610 举报邮箱:58377363@163.com

精英家教网