题目内容

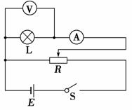
图7-4-5为“测绘小灯泡伏安特性曲线”实验的实物电路图,已知小灯泡额定电压为2.5 V.

图7-4-5

(1)完成下列实验步骤:

①闭合开关前,调节滑动变阻器的滑片,________;

②闭合开关后,逐渐移动变阻器的滑片,________;

③断开开关,……根据实验数据在方格纸上作出小灯泡灯丝的伏安特性曲线.

(2)在虚线框中画出与实物电路相应的电路图.

解析 (1)滑动变阻器为分压式接法,故闭合开关前,灯泡两端的电压为零,调节滑动变阻器的滑片,使它靠近滑动变阻器左端的接线柱.闭合开关后,逐渐移动滑动变阻器的滑片,增加小灯泡两端的电压,记录电流表和电压表的多组读数,直至电压达到额定电压.

(2)与实物电路相应的电路图如图所示.

答案 (1)①使它靠近滑动变阻器左端的接线柱 ②增加小灯泡两端的电压,记录电流表和电压表的多组读数,直至电压达到其额定电压 (2)如解析图所示

练习册系列答案
相关题目
Ⅰ、图1为“验证牛顿第二定律”的实验装置示意图.砂和砂桶的总质量为m,小车和砝码的总质量为M.实验中用砂和砂桶总重力的大小作为细线对小车拉力的大小.
精英家教网
(1)试验中,为了使细线对小车的拉力等于小车所受的合外力,先调节长木板一滑轮的高度,使细线与长木板平行.接下来还需要进行的一项操作是
A.将长木板水平放置,让小车连着已经穿过打点计时器的纸带,给打点计时器通电,调节m的大小,使小车在砂和砂桶的牵引下运动,从打出的纸带判断小车是否做匀速运动.
B.将长木板的一端垫起适当的高度,让小车连着已经穿过打点计时器的纸带,撤去砂和砂桶,给打点计时器通电,轻推小车,从打出的纸带判断小车是否做匀速运动.
C.将长木板的一端垫起适当的高度,撤去纸带以及砂和砂桶,轻推小车,观察判断小车是否做匀速运动.
(2)实验中要进行质量m和M的选取,以下最合理的一组是
 

A.M=20g,m=10g、15g、20g、25g、30g、40g
B.M=200g,m=20g、40g、60g、80g、100g、120g
C.M=400g,m=10g、15g、20g、25g、30g、40g
D.M=400g,m=20g、40g、60g、80g、100g、120g
(3)图2 是试验中得到的一条纸带,A、B、C、D、E、F、G为7个相邻的计数点,相邻的两个计数点之间还有四个点未画出.量出相邻的计数点之间的距离分别为sAB=4.22cm、sBC=4.65cm、sCD=5.08cm、sDE=5.49cm、sEF=5.91cm、sFG=6.34cm.已知打点计时器的工作频率为50Hz,则小车的加速度a=
 
m/s2(结果保留2位有效数字).
Ⅱ、如图为“测绘小灯伏安特性曲线”实验的实物电路图,已知小灯泡额定电压为2.5V.
精英家教网
(1)完成下列实验步骤:
①闭合开关前,调节滑动变阻器的滑片,
 

②闭合开关后,逐渐移动变阻器的滑片,
 

③断开开关,….根据实验数据在方格纸上作出小灯泡灯丝的伏安特性曲线.
(2)在虚线框中画出与实物电路相应的电路图.

违法和不良信息举报电话:027-86699610 举报邮箱:58377363@163.com

精英家教网