题目内容
在“探究小车速度随时间变化的规律”的实验中,打点计时器使用的交流电的频率为50Hz,记录小车运动的纸带如图2-2所示,在纸带上选择0、1、2、3、4、5的6个计数点,相邻两计数点之间还有四个点未画出,纸带旁并排放着带有最小分度为毫米的刻度尺,零点跟“0”计数点对齐,由图可以读出三个计数点1、3、5跟0点的距离填入下列表格中.| 距离 | d1 | d2 | d3 |
| 测量值/cm |
(2)小车的加速度是多少?
【答案】分析:根据匀变速直线运动中时间中点的速度等于该过程中的平均速度,可以求出打纸带上2点时小车的瞬时速度大小;根据匀变速直线运动的推论公式△x=aT2可以求出加速度的大小.
解答:解:(1)由图可以读出三个计数点1、3、5跟0点的距离分别是1.20cm,5.40cm,12.00cm.
相邻两计数点之间还有四个点未画出,所以相邻的计数点间的时间间隔为t=0.1s,根据匀变速直线运动中时间中点的速度等于该过程中的平均速度,
得:v2=
=0.21m/s
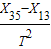
(2)从图中可以读出x13、x35间的距离,它们的时间间隔T=0.2s,根据匀变速直线运动的推论公式△x=aT2,
得:x35-x13=△x=aT2
整理:a=
=0.6m/s2
故答案为:(1)0.21 (2)0.6
点评:要提高应用匀变速直线的规律以及推论解答实验问题的能力,在平时练习中要加强基础知识的理解与应用.
解答:解:(1)由图可以读出三个计数点1、3、5跟0点的距离分别是1.20cm,5.40cm,12.00cm.
相邻两计数点之间还有四个点未画出,所以相邻的计数点间的时间间隔为t=0.1s,根据匀变速直线运动中时间中点的速度等于该过程中的平均速度,
得:v2=
(2)从图中可以读出x13、x35间的距离,它们的时间间隔T=0.2s,根据匀变速直线运动的推论公式△x=aT2,
得:x35-x13=△x=aT2
整理:a=
故答案为:(1)0.21 (2)0.6
点评:要提高应用匀变速直线的规律以及推论解答实验问题的能力,在平时练习中要加强基础知识的理解与应用.
练习册系列答案
相关题目
| A、打点计时器不一定要使用交流电 | B、在释放小车前,小车应紧挨在打点计时器旁 | C、应先接通电源,待打点计时器开始打点后再释放小车 | D、要在小车到达定滑轮前使小车停止运动 |