题目内容

在“利用单摆测重力加速度”的实验中,有个同学发现自己测得的重力加速度总是偏大,其原因可能是下述原因中的 ( )
A.实验室处在高山上,距离海平面太高
B.单摆所用的摆球质量太大
C.把n次全振动的时间t误作为(n+1)次全振动的时间
D.以摆线长作为摆长来计算了
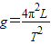
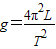
【答案】分析:用单摆测定当地重力加速度实验原理是单摆的周期公式 得到计算重力加速度的表达公式, 测量的重力加速度的值偏大,可能是单摆周期的测量值偏小,或摆长偏大.
解答:解:用单摆测定当地重力加速度实验原理是利用单摆的周期公式得到计算重力加速度的表达公式,
A:实验室处在高山上,距离海平面太高,将导致测量的重力加速度偏小,故A错误;
B:从计算重力加速度的表达公式中可以看到,重力加速度与摆球的质量无关.故B错误;
C:实验时误把n次全振动次数记为n+1次,由算出的周期偏小,g的测量值偏大.故C正确.
D:摆线的长度当做摆长,摆长偏小,则g的测量值偏小.故D错误;
故选:C
点评:对于单摆实验误差的分析,关键从实验原理周期公式,进行分析.属于简单题.
练习册系列答案
相关题目
实验题:
精英家教网
(1)①在利用单摆测重力加速度的实验中,甲组同学用游标卡尺测出小球的直径如图1所示.则该小球的直径为
 
cm.
②乙组同学在实验中测出多组摆长和运动的周期,根据实验数据,作出T2-L的关系图象如图2所示,该同学在实验中出现的错误可能是计算摆长时
 
(选填“漏加”或“多加”)了小球的半径.
③虽然实验中出现了错误,但根据图象中的数据,仍可算出准确的重力加速度,其值为
 
rn/s2(最后结果保留三位有效数字).
(2)用半偏法测电流表内阻,提供的器材如下:
干电池(电动势E约为1.5V,内阻r约为10Ω)、待测电流表A(0~50μA,内阻约4kΩ)、电阻箱R1、R2(均为0~99999.9Ω)、电键、导线若干.
①实验电路如图3,有关实验操作及测量如下:
I.只闭合S,当调节R1到26090.0Ω时,电流表A满偏;
Ⅱ.再闭合S1,R2调为3770.0Ω时,电流表A半偏,由此可得电流表的内阻Rg的测量值为
 
Ω.
②半偏法测量电流表内阻时,要求R1>Rg(比值R1/Rg越大.测量误差越小),本实验中R1虽比Rg大.但两者之比不是很大,因此导致Rg的测量误差较大.具体分析如下:电流表A半偏时的回路总电阻比全偏时的回路总电阻
 
(填“偏大”或“偏小”),导致这时的总电流
 
(选填“变大”或“变小”),半偏时R2
 
Rg(填“大于”或“小于”).
③为减小Rg的测量误差,可以通过补偿回路总电阻的方法,即把半偏时回路的总电阻的变化补回来.具体的数值可以通过估算得出,实际操作如下:在①中粗测出Rg后,再把R1先增加到
 
Ω[用第①问中的有关条件求得具体数值],再调节R2使电流表
 
.用这时R2的值表示Rg的测量值,如此多次补偿即可使误差尽量得以减小.

违法和不良信息举报电话:027-86699610 举报邮箱:58377363@163.com

精英家教网