题目内容
如图所示是演示沙摆振动图象的实验装置和在木板上留下的实验结果,沙摆运动可看作是简谐运动,若用力F向外拉木板,使木板做匀速运动,速度大小是0.2m/s.已知乙图所示的一段木板的长度是0.6m,那么这次实验所用的沙摆的摆长约为(计算时可以取π2=g)
【答案】分析:根据木板移动的距离和速度得出沙摆的周期,根据单摆的周期公式求出摆长的大小.
解答:解:t=2T=
.
则周期T=1.5s.
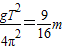
根据单摆的周期公式T=
则L=
答:沙摆的摆长约为
m.
点评:解决本题的关键掌握单摆的周期公式T=
,并能灵活运用.
解答:解:t=2T=
则周期T=1.5s.
根据单摆的周期公式T=
则L=
答:沙摆的摆长约为
点评:解决本题的关键掌握单摆的周期公式T=
练习册系列答案
相关题目