题目内容
两个电荷量分别为q和-q的带电粒子分别以速度Va和Vb射入匀强磁场,两粒子的入射方向与磁场边界的夹角分别为30°和60°,磁场宽度为d,两粒子同时由A点出发,同时到达B点,如图所示,则( )![]()
| A.a粒子带正电,b粒子带负电 |
| B.两粒子的轨道半径之比Ra∶Rb= |
| C.两粒子的质量之比ma∶mb=1∶2 |
| D.两粒子的速度之比Va∶Vb=1∶2 |
C
解析试题分析:![]()
由左手定则知a粒子带负电,b粒子带正电,A错;由图知
,
,
,B错;由
,
,
,
,联立得到
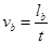
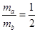
,D错;由
得到
,同理得到
联立得到
,C正确。
考点:本题考查粒子运动轨迹的画法,半径公式,速度公式
点评:本题学生应先画出粒子运动的轨迹,找出圆心和半径,由几何知识求出半径R和d的关系。
练习册系列答案
相关题目
| A、a粒子带负电,b粒子带正电 | ||
B、两粒子的轨道半径之比Ra:Rb=
| ||
| C、两粒子的质量之比ma:mb=1:2 | ||
| D、两粒子的速度之比Va:Vb=1:2 |