题目内容

某实验小组利用如图甲所示的气垫导轨实验装置来探究合力一定时,物体的加速度与质量之间的关系.

(1)

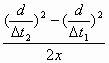
做实验时,将滑块从图甲所示位置由静止释放,由数字计时器(图中未画出)可读出遮光条通过光电门1、2的时间分别为Δt1、Δt2;用刻度尺测得两个光电门中心之间的距离x,用游标卡尺测得遮光条宽度为d.则滑块经过光电门1时的速度表达式v1________;滑块加速度的表达式a________.(以上表达式均用已知字母表示).如图乙所示,若用20分度的游标卡尺测量遮光条的宽度,其读数为________mm.

(2)

为了保持滑块所受的合力不变,可改变滑块质量M和气垫导轨右端高度h(见图甲).关于“改变滑块质量M和气垫导轨右端的高度h”的正确操作方法是

A.

M增大时,h增大,以保持二者乘积增大

B.

M增大时,h减小,以保持二者乘积不变

C.

M减小时,h增大,以保持二者乘积不变

D.

M减小时,h减小,以保持二者乘积减小

答案:2.BC;
解析:

  8.15


练习册系列答案
相关题目

违法和不良信息举报电话:027-86699610 举报邮箱:58377363@163.com

精英家教网