题目内容
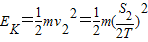
在验证机械能守恒定律的实验中,设在选定的纸带上依次把点记为1,2,3,…等计数点,如图,纸带上所打点,记录了物体在不同时刻的位置,若物体运动从计数点2到计数点4过程来验证机械能守恒定律,(打点计时器的打点周期为T,物体的质量为m,重力加速度为g,图中字母表示的距离已知).(1)当打点计时器打点“2”时,物体动能的表达式应该是______
【答案】分析:(1)通过某段时间内的平均速度表示瞬时速度,求出“2”点的速度,从而求出动能.
(2)根据下降的距离,结合△EP=mg△h,求出重力势能的减小量.
(3)要验证的是重力势能的减小量与动能的增加量是否相等.
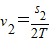
解答:解:(1)
,所以物体动能的表达式
.
(2)重力势能的减小量△EP=mg△h=mg(s3-s1).
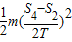
(3)重力势能的减小量△EP=mg△h=mg(s3-s1).动能的增加量
=
-
.要验证的是重力势能的减小量与动能的增加量是否相等,所以表达式为:mg(S3-S1)=
-
故本题答案为:(1)
(2)mg(S3-S1)(3)mg(S3-S1)=
-
.
点评:解决本题的关键知道实验的原理,验证重力势能的减小量与动能的增加量是否相等.以及知道通过求某段时间内的平均速度表示瞬时速度.
(2)根据下降的距离,结合△EP=mg△h,求出重力势能的减小量.
(3)要验证的是重力势能的减小量与动能的增加量是否相等.
解答:解:(1)
(2)重力势能的减小量△EP=mg△h=mg(s3-s1).
(3)重力势能的减小量△EP=mg△h=mg(s3-s1).动能的增加量
故本题答案为:(1)
点评:解决本题的关键知道实验的原理,验证重力势能的减小量与动能的增加量是否相等.以及知道通过求某段时间内的平均速度表示瞬时速度.
练习册系列答案
相关题目