ÌâÄ¿ÄÚÈÝ
ÏÖÒªÑéÖ¤¡°µ±ÖÊÁ¿Ò»¶¨Ê±£¬ÎïÌåÔ˶¯µÄ¼ÓËÙ¶ÈÓëËüËùÊܵĺÏÍâÁ¦³ÉÕý±È¡±ÕâÒ»ÎïÀí¹æÂÉ£®¸ø¶¨µÄÆ÷²ÄÈçÏ£ºÒ»Çã½Ç¿ÉÒÔµ÷½ÚµÄ³¤Ð±Ã棨Èçͼ£©¡¢Ð¡³µ¡¢¼ÆÊ±Æ÷Ò»¸ö¡¢Ã׳ߣ®ÇëÌîÈëÊʵ±µÄ¹«Ê½»òÎÄ×Ö£¬ÍêÉÆÒÔÏÂʵÑé²½Ö裨²»¿¼ÂÇĦ²ÁÁ¦µÄÓ°Ï죩£º¢ÙС³µ×ÔÐ±ÃæÉÏ·½Ò»¹Ì¶¨µãA1´Ó¾²Ö¹¿ªÊ¼Ï»¬ÖÁÐ±Ãæµ×¶ËA2£¬¼ÇÏÂËùÓõÄʱ¼ät
¢ÚÓÃÃ׳߲âÁ¿A1ÓëA2Ö®¼äµÄ¾àÀës£¬ÔòС³µµÄ¼ÓËÙ¶Èa=______£®
¢ÛÓÃÃ׳߲âÁ¿A1Ïà¶ÔÓÚA2µÄ¸ßh£®ÉèС³µËùÊÜÖØÁ¦Îªmg£¬ÔòС³µËùÊܵĺÏÍâÁ¦F=______£®
¢Ü¸Ä±ä______£¬Öظ´ÉÏÊö²âÁ¿£®
¢ÝÒÔhΪºá×ø±ê£¬
£¨2£©Ð¡³µËùÊܵĺÏÍâÁ¦ÊÇÖØÁ¦ÑØÐ±ÃæµÄ·ÖÁ¦£¬´óСΪ£ºmgsin¦È£¬¦ÈÎªÐ±ÃæµÄ¼Ð½Ç£¬Çó³ösin¦È£¬¼´¿ÉÇó³öºÏÍâÁ¦F£®
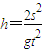
£¨3£©Óö¯Äܶ¨Àí¿É½âµÃ£ºh=
½â´ð£º½â£º£¨1£©Ð¡³µ×öµÄÊdzõËÙ¶ÈΪÁãµÄÔȼÓËÙÖ±ÏßÔ˶¯£¬¸ù¾ÝÔ˶¯¹æÂÉ£ºs=
£¨2£©Ð¡³µËùÊܵĺÏÍâÁ¦ÊÇÖØÁ¦ÑØÐ±ÃæµÄ·ÖÁ¦£¬´óСΪ£ºmgsin¦È£¬¦ÈÎªÐ±ÃæµÄ¼Ð½Ç£¬sin¦È=
£¨3£©Óö¯Äܶ¨Àí¿É½âµÃ£ºh=
¹Ê´ð°¸Îª£º¢Ú
µãÆÀ£º±¾ÌâµÄ¹Ø¼üÊÇÕÒ³öʵÑéÔÀí£¬ÊÇÖØÁ¦ÑØÐ±ÃæµÄ·ÖÁ¦×öΪºÏÍâÁ¦£¬×îÖյõ½
- QQ¿Õ¼ä
- ÐÂÀË΢²©
- °Ù¶ÈËѲØ
- ÈËÈËÍø
- ÌÚѶ΢²©
- ¿ªÐÄÍø
- ÌÚѶÅóÓÑ
- °Ù¶È¿Õ¼ä
- ¶¹°êÍø
- ËѺü΢²©
- MSN
- QQÊÕ²Ø
- ÎÒµÄÌÔ±¦
- °Ù¶ÈÌù°É
- ËѺü°×Éç»á
- ¸ü¶à...
°Ù¶È·ÖÏí
Ò»¸öÓÐÒ»¶¨ºñ¶ÈµÄÔ²ÅÌ£¬¿ÉÒÔÈÆÍ¨¹ýÖÐÐÄ´¹Ö±ÓÚÅÌÃæµÄˮƽÖáת¶¯£¬ÓÃÏÂÃæµÄ·½·¨²âÁ¿ËüÔÈËÙת¶¯Ê±µÄ½ÇËÙ¶È¡£
ʵÑéÆ÷²Ä£ºµç´Å´òµã¼ÆÊ±Æ÷¡¢Ã׳ߡ¢Ö½´ø¡¢¸´Ð´Ö½Æ¬¡£
ʵÑé²½Ö裺
£¨1£©Èçͼ1Ëùʾ£¬½«µç´Å´òµã¼ÆÊ±Æ÷¹Ì¶¨ÔÚ×ÀÃæÉÏ£¬½«Ö½´øµÄÒ»¶Ë´©¹ý´òµã¼ÆÊ±Æ÷µÄÏÞλ¿×ºó£¬¹Ì¶¨ÔÚ´ý²âÔ²Å̵IJàÃæÉÏ£¬Ê¹µÃÔ²ÅÌת¶¯Ê±£¬Ö½´ø¿ÉÒÔ¾íÔÚÔ²Å̲àÃæÉÏ¡£
£¨2£©Æô¶¯¿ØÖÆ×°ÖÃʹԲÅÌת¶¯£¬Í¬Ê±½ÓͨµçÔ´£¬´òµã¼ÆÊ±Æ÷¿ªÊ¼´òµã¡£
£¨3£©¾¹ýÒ»¶Îʱ¼ä£¬Í£Ö¹×ª¶¯ºÍ´òµã£¬È¡ÏÂÖ½´ø£¬½øÐвâÁ¿¡£
¢Ù ÓÉÒÑÖªÁ¿ºÍ²âµÃÁ¿±íʾµÄ½ÇËٶȵıí´ïʽΪ¦Ø=¡¡¡¡¡¡¡¡¡¡¡¡¡¡¡¡¡¡¡¡¡¡ ¡£Ê½Öи÷Á¿µÄÒâÒåÊÇ£º¡¡¡¡¡¡¡¡¡¡¡¡¡¡¡¡¡¡¡¡¡¡¡¡¡¡¡¡¡¡¡¡¡¡¡¡¡¡¡¡¡¡¡¡¡¡¡¡¡¡¡¡
¡¡¡¡¡¡¡¡¡¡¡¡¡¡¡¡¡¡¡¡¡¡¡¡¡¡¡¡¡¡¡¡¡¡¡¡¡¡¡¡¡¡¡¡¡¡¡¡¡¡¡¡¡¡¡¡¡¡¡¡¡¡¡¡¡¡¡¡¡¡ .
¢Ú ij´ÎʵÑé²âµÃÔ²Å̰뾶r=5.50¡Á10-2m£¬µÃµ½Ö½´øµÄÒ»¶ÎÈçͼ2Ëùʾ£¬ÇóµÃ½ÇËÙ¶ÈΪ¡¡¡¡¡¡¡¡¡¡¡¡¡¡¡¡¡¡ ¡£
£¨1£© £¨2£©6.8/s¡£ |