题目内容

如图所示,在两条平行的虚线内存在着宽度为L、场强为E的匀强电场,在与右侧虚线相距也为L处有一与电场平行的屏幕.现有一带电量为+q、质量为m的带电粒子,以垂直于电场的初速度v0射入电场中,粒子的重力不计,v0方向的延长线与屏幕的交点为O.试求:
(1)粒子从射入到打到屏上所用的时间;
(2)粒子刚射出电场时的速度方向与初速度方向间夹角的正切值tanα
(3)粒子打到屏上的点PO点的距离s.

 (1) t……………………………………………………3分
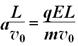
(2)a……………………………………………………………1分
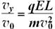
所以vy……………………………………………1分
tanα………………………………………………………1分
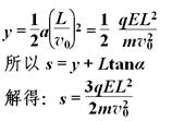
(3)

解析

练习册系列答案
相关题目

违法和不良信息举报电话:027-86699610 举报邮箱:58377363@163.com

精英家教网