题目内容
一个平直的传送带以速率v=2m/s匀速运行,传送带把A处的工件运送到B处,A、B相距L=10m,从A处把工件无初速度地放到传送带上,经过时间t=6s能传送到B处.欲使工件用最短时间从A处传到B处,求传送带的运行速度至少应多大.
【答案】分析:工件放上传送带先做匀加速直线运动,当速度与传送带速度相等时,一起做匀速直线运动.根据运动学公式求出工件匀加速运动的加速度,当工件一直做匀加速直线运动时,运行的时间最短,根据运动学公式求出传送带运行的最小速度.
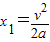
解答:解:设工件匀加速直线运动的加速度为a,则匀加速直线运动的位移
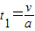
,匀加速运动的时间
.
有:x1+v(t-t1)=L,代入解得a=1m/s2.
当工件一直做匀加速直线运动时,运行时间最短.
根据
得,
所以传送带的最小速度
.
故传送带的运行速度至少为
m/s.
点评:解决本题的关键会根据物体的受力判断物体的运动情况,知道工件一直做匀加速直线运动时,运行的时间最短.
解答:解:设工件匀加速直线运动的加速度为a,则匀加速直线运动的位移
有:x1+v(t-t1)=L,代入解得a=1m/s2.
当工件一直做匀加速直线运动时,运行时间最短.
根据
所以传送带的最小速度
故传送带的运行速度至少为
点评:解决本题的关键会根据物体的受力判断物体的运动情况,知道工件一直做匀加速直线运动时,运行的时间最短.
练习册系列答案
相关题目