题目内容
如图所示,在一个圆形区域内,两个方向相反且都垂直于纸面的匀强磁场分布在以直径A2A4为边界的两个半圆形区域Ⅰ、Ⅱ中,直径A2A4与A1A3的夹角为60°.一质量为m、带电荷量为+q的粒子以某一速度从Ⅰ区的边缘点A1处沿与A1A3成30°角的方向射入磁场,随后该粒子以垂直于A2A4的方向经过圆心O进入Ⅱ区,最后从A4处射出磁场.已知该粒子从射入到射出磁场所用的时间为t.(忽略粒子重力).(1)求粒子在Ⅰ区和Ⅱ区中的速度偏角φ1和φ2
(2)求Ⅰ区和Ⅱ区中磁感应强度的大小B1和B2.
【答案】分析:由题意可知粒子在两磁场中的转动轨迹,由几何关系可知两圆的半径,则由洛仑兹力充当向心力可列出方程;再根据在两磁场中转过的圆心角可求得在两磁场中的时间,则由两粒子在两磁场中运动的总时间可列出关于时间的表达式,联立可解得磁感应强度.
解答:解:
设粒子的入射速度为v,已知粒子带正电,故它在磁场中先顺时针做圆周运动,再逆时针做圆周运动,最后从A4点射出,
用B1、B2、R1、R2、T1、T2分别表示在磁场Ⅰ区Ⅱ磁感应强度、轨道半径和周期
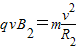
①
②
③
④
设圆形区域的半径为r,如答图所示,已知带电粒子过圆心且垂直A3A4进入Ⅱ区磁场,
连接A1A2,△A1OA2为等边三角形,A2为带电粒子在Ⅱ区磁场中运动轨迹的圆心,
其半径R1=A1A2=OA2=r⑤
圆心角∠A1A2O=60°,
所以粒子在Ⅰ区中的速度偏角φ1为60°,
带电粒子在Ⅰ区磁场中运动的时间为
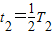
⑥
带电粒子在Ⅱ区磁场中运动轨迹的圆心在OA4的中点,即R=
r ⑦
所以粒子在Ⅱ区中的速度偏角φ2为120°,
在Ⅱ区磁场中运动时间为
⑧
带电粒子从射入到射出磁场所用的总时间t=t1+t2⑨
由以上各式可得
⑩
故I区磁感应强度为
;II区磁感应强度为
.
点评:带电粒子在磁场中的运动,一般可先确定圆心求出半径,再由洛仑兹力充当向心力及圆的性质求解.
解答:解:
用B1、B2、R1、R2、T1、T2分别表示在磁场Ⅰ区Ⅱ磁感应强度、轨道半径和周期
设圆形区域的半径为r,如答图所示,已知带电粒子过圆心且垂直A3A4进入Ⅱ区磁场,
连接A1A2,△A1OA2为等边三角形,A2为带电粒子在Ⅱ区磁场中运动轨迹的圆心,
其半径R1=A1A2=OA2=r⑤
圆心角∠A1A2O=60°,
所以粒子在Ⅰ区中的速度偏角φ1为60°,
带电粒子在Ⅰ区磁场中运动的时间为
带电粒子在Ⅱ区磁场中运动轨迹的圆心在OA4的中点,即R=
所以粒子在Ⅱ区中的速度偏角φ2为120°,
在Ⅱ区磁场中运动时间为
带电粒子从射入到射出磁场所用的总时间t=t1+t2⑨
由以上各式可得
故I区磁感应强度为
点评:带电粒子在磁场中的运动,一般可先确定圆心求出半径,再由洛仑兹力充当向心力及圆的性质求解.
练习册系列答案
相关题目