ÌâÄ¿ÄÚÈÝ
ÎÒ¹úÖ´ÐÐÊ×´ÎÔØÈ˺½Ìì·ÉÐеÄÉñÖÝÎåºÅ·É´¬ÓÚ2003Äê10ÔÂ15ÈÕÔÚÖйú¾ÆÈªÎÀÐÇ·¢ÉäÖÐÐÄ·¢ÉäÉý¿Õ£®·É´¬Óɳ¤Õ÷-2FÔËÔØ»ð¼ýÏÈËÍÈë½üµØµãΪA¡¢Ô¶µØµãΪBµÄÍÖÔ²¹ìµÀ£¬ÔÚBµãʵʩ±ä¹ìºó£¬ÔÙ½øÈëÔ¤¶¨Ô²¹ìµÀ£¬ÈçͼËùʾ£®ÒÑÖª·É´¬ÔÚÔ¤¶¨Ô²¹ìµÀÉÏ·ÉÐÐnȦËùÓÃʱ¼äΪt£¬½üµØµãA¾àµØÃæ¸ß¶ÈΪL1£¬µØÇò±íÃæÖØÁ¦¼ÓËÙ¶ÈΪg£¬µØÇò°ë¾¶ÎªR£¬Ç󣺣¨1£©·É´¬ÔÚ½üµØµãAµÄ¼ÓËÙ¶ÈaAΪ¶à´ó£¿
£¨2£©Ô¶µØµãB¾àµØÃæµÄ¸ß¶ÈL2Ϊ¶àÉÙ£¿
¡¾´ð°¸¡¿·ÖÎö£º£¨1£©¿ÉÒÔÏÈÓÉÖØÁ¦¼ÓËٶȵıí´ïʽÇó³öµØÇòÖÊÁ¿£¬È»ºóÖ±½Ó¸ù¾ÝÅ£¶ÙµÚ¶þ¶¨ÂÉÇó½â¼ÓËÙ¶È£»
£¨2£©¸ù¾Ý·ÉnȦµÄʱ¼äΪt£¬ÏÈÇó³öÖÜÆÚ£¬ÔÙÓÉÔÚÔ¤¶¨¹ìµÀÉÏʱÍòÓÐÒýÁ¦µÈÓÚÏòÐÄÁ¦Çó³öÔ¤¶¨¹ìµÀµÄ¹ìµÀ°ë¾¶£¬×îºóµÃ³öBµãµÄ¸ß¶È£®
½â´ð£º½â£º£¨1£©ÉèµØÇòÖÊÁ¿ÎªM£¬·É´¬µÄÖÊÁ¿Îªm£¬ÔÚAµãÊܵ½µÄµØÇòÒýÁ¦Îª

µØÇò±íÃæµÄÖØÁ¦¼ÓËÙ¶È
g=G
ÓÖÓÉÅ£¶ÙµÚ¶þ¶¨ÂÉ
F=ma
ÁªÁ¢ÒÔÉÏÈýʽµÃ

·É´¬ÔÚ½üµØµãAµÄ¼ÓËÙ¶ÈaAΪ
£®
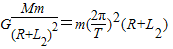
£¨2£©·É´¬ÔÚÔ¤¶¨Ô²¹ìµÀ·ÉÐеÄÖÜÆÚ
T=
ÓÉÅ£¶ÙÔ˶¯¶¨ÂɵÃ
ÁªÁ¢½âµÃ
-R
Ô¶µØµãB¾àµØÃæµÄ¸ß¶ÈL2Ϊ
-R£®
µãÆÀ£ºÎÀÐÇÔÚÍÖÔ²¹ìµÀÔËÐÐʱµÄ¼ÓËÙ¶ÈĿǰֻÄܸù¾ÝÅ£¶ÙµÚ¶þ¶¨ÂÉÇó½â£»ÎÀÐǵĹìµÀ°ë¾¶ÓëÏßËÙ¶È¡¢½ÇËÙ¶È¡¢ÖÜÆÚ¶ÔÓ¦£¡
£¨2£©¸ù¾Ý·ÉnȦµÄʱ¼äΪt£¬ÏÈÇó³öÖÜÆÚ£¬ÔÙÓÉÔÚÔ¤¶¨¹ìµÀÉÏʱÍòÓÐÒýÁ¦µÈÓÚÏòÐÄÁ¦Çó³öÔ¤¶¨¹ìµÀµÄ¹ìµÀ°ë¾¶£¬×îºóµÃ³öBµãµÄ¸ß¶È£®
½â´ð£º½â£º£¨1£©ÉèµØÇòÖÊÁ¿ÎªM£¬·É´¬µÄÖÊÁ¿Îªm£¬ÔÚAµãÊܵ½µÄµØÇòÒýÁ¦Îª
µØÇò±íÃæµÄÖØÁ¦¼ÓËÙ¶È
g=G
ÓÖÓÉÅ£¶ÙµÚ¶þ¶¨ÂÉ
F=ma
ÁªÁ¢ÒÔÉÏÈýʽµÃ
·É´¬ÔÚ½üµØµãAµÄ¼ÓËÙ¶ÈaAΪ
£¨2£©·É´¬ÔÚÔ¤¶¨Ô²¹ìµÀ·ÉÐеÄÖÜÆÚ
T=
ÓÉÅ£¶ÙÔ˶¯¶¨ÂɵÃ
ÁªÁ¢½âµÃ
Ô¶µØµãB¾àµØÃæµÄ¸ß¶ÈL2Ϊ
µãÆÀ£ºÎÀÐÇÔÚÍÖÔ²¹ìµÀÔËÐÐʱµÄ¼ÓËÙ¶ÈĿǰֻÄܸù¾ÝÅ£¶ÙµÚ¶þ¶¨ÂÉÇó½â£»ÎÀÐǵĹìµÀ°ë¾¶ÓëÏßËÙ¶È¡¢½ÇËÙ¶È¡¢ÖÜÆÚ¶ÔÓ¦£¡
Á·Ï°²áϵÁдð°¸
Ïà¹ØÌâÄ¿