题目内容
如图所示,MN、PQ是平行金属板,板长为L,两板间距离为d,在PQ板的上方有垂直纸面向里的匀强磁场.一个电荷量为q、质量为m的带负电粒子以速度v0从MN板边缘沿平行于板的方向射入两板间,结果粒子恰好从PQ板左边缘飞进磁场,然后又恰好从PQ板的右边缘飞进电场.不计粒子重力.试求:
![]()
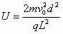
(1)两金属板间所加电压U的大小;
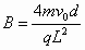
(2)匀强磁场的磁感应强度B的大小;
(3)在图中画出粒子再次进入电场的运动轨迹,并标出粒子再次从电场中飞出的位置与速度方向.
答案:
解析:
解析:
|
解:(1)粒子在电场中运动时间为t,有: 解得: (2) 解得: (3)画图正确给2分. |
练习册系列答案
相关题目
| π |
| 2 |
A、在t=1s时刻电流表的示数为
| ||||
| B、导体棒两端的最大电压为1V | ||||
| C、单位时间内电阻R上产生的焦耳热为0.25J | ||||
| D、从t=0至t=3s的时间内水平外力所做的功为0.75J |