题目内容
2010年1月17日,我国成功发射北斗COMPASS-G1地球同步卫星.据了解这已是北斗卫星导航系统发射的第三颗地球同步卫星.则对于这三颗已发射的同步卫星,下列说法中正确的是( )A.它们环绕地球运行可以不在同一条轨道上
B.它们的运行角速度相同
C.它们的运行速度大小相等,且都大于7.9km/s
D.它们的向心加速度与静止在赤道上物体的向心加速度大小相等
【答案】分析:同步卫星的周期与地球自转的周期相同,位于赤道的上空,定速度、定轨道、定周期、定高度.根据a=rω2比较同步卫星与赤道上物体的向心加速度大小.
解答:解:A、所有地球的同步卫星都位于赤道的上空,在相同的轨道上运行.故A错误.
B、同步卫星的周期与地球的周期相同,根据ω=
知,同步卫星的角速度相等.故B正确.
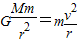
C、根据万有引力提供向心力
知,v=
,轨道半径越大,线速度越小,7.9km/h是贴近地球表面运行的速度,所以同步卫星的速度小于7.9km/h.故C错误.
D、同步卫星的角速度与地球自转的角速度相等,根据a=rω2得,同步卫星的向心加速度大于赤道上物体的向心加速度.故D错误.
故选B.
点评:解决本题的关键知道同步卫星的特点,定轨道、定高度、定周期、定速率.
解答:解:A、所有地球的同步卫星都位于赤道的上空,在相同的轨道上运行.故A错误.
B、同步卫星的周期与地球的周期相同,根据ω=
C、根据万有引力提供向心力
D、同步卫星的角速度与地球自转的角速度相等,根据a=rω2得,同步卫星的向心加速度大于赤道上物体的向心加速度.故D错误.
故选B.
点评:解决本题的关键知道同步卫星的特点,定轨道、定高度、定周期、定速率.
练习册系列答案
相关题目
| A、在轨道I和轨道II上运动周期相同 | B、在轨道I和轨道II上经过P点时的加速度相同 | C、在轨道I和轨道II上经过P点时的速度相同 | D、在轨道I和轨道II上机械能相比较,I机械能小 |