题目内容
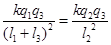
如图所示,q1、q2、q3分别表示在一条直线上的三个点电荷,已知q1与q2之间的距离为L1, q2与q3之间的距离为L2,且每个电荷都处于平衡状态.
![]()
(1)如果q2为正电荷,则q1为________电荷,q3为电荷________.(填正、负)
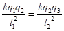
(2)q1、q2的电荷量大小关系是q1________q2 (填大于、小于、等于)
【答案】
(1)负,负; (2)大于
【解析】
试题分析:(1)假设
带负电,要使
平衡则
也应带负电.如果
带正电,要使
平衡则
也应带正电.但是
、
不能平衡,所以
、
都带负电荷.
(2)由于三个电荷均处于平衡状态,由库仑定律建立如下平衡式:对
:![]()
对
:![]()
对
:![]()
解得:![]()
考点:库仑定律;共点力平衡
练习册系列答案
相关题目
| A、O点电势一定高于N点电势 | B、O点场强一定小于M点场强 | C、将一个负点电荷从M点移到N点,需克服电场力做功 | D、若将一个正点电荷分别放在M、N和O三点,则该点电荷在O点时电势能最大 |
| A、不断增大 | B、不断减小 | C、先减小后增大 | D、先增大后减小 |
| A、EA>EB,φA>φB | B、EA>EB,φA<φB | C、EA>EB,φA=φB | D、EA<EB,φA<φB |