ÌâÄ¿ÄÚÈÝ
¾Æºó¼ÝÊ»»áµ¼ÖÂÐí¶à°²È«Òþ»¼£¬ÕâÊÇÒòΪ¼ÝʻԱµÄ·´Ó¦Ê±¼ä±ä³¤£¬·´Ó¦Ê±¼äÊÇÖ¸¼ÝʻԱ´Ó·¢ÏÖÇé¿öµ½²ÉÈ¡ÖÆ¶¯µÄʱ¼ä£®Ï±íÖС°Ë¼¿¼¾àÀ롱ÊÇÖ¸¼ÝʻԱ´Ó·¢ÏÖÇé¿öµ½²ÉÈ¡ÖÆ¶¯µÄʱ¼äÄÚÆû³µÐÐÊ»µÄ¾àÀ룻¡°Öƶ¯¾àÀ롱ÊÇÖ¸¼ÝʻԱ·¢ÏÖÇé¿öµ½Æû³µÍ£Ö¹ÐÐÊ»µÄ¾àÀë(¼ÙÉèÆû³µÖƶ¯Ê±µÄ¼ÓËÙ¶È´óС¶¼Ïàͬ)£®
|
ËÙ¶È(m/s) |
˼¿¼¾àÀë/m |
ÖÆ¶¯¾àÀëm |
||
|
Õý³£ |
¾Æºó |
Õý³£ |
¾Æºó |
|
|
15 |
7.5 |
15.0 |
22.5 |
30.0 |
|
20 |
10.0 |
20.0 |
36.7 |
46.7 |
|
25 |
12.5 |
25.0 |
54.2 |
66.7 |
·ÖÎöÉϱí¿ÉÖª£¬ÏÂÁÐ˵·¨ÕýÈ·µÄÊÇ(¡¡ ¡¡)
A£®¼ÝʻԱÕý³£Çé¿öÏ·´Ó¦Ê±¼äΪ0.5 s
B£®¼ÝʻԱ¾Æºó·´Ó¦Ê±¼ä±ÈÕý³£Çé¿ö϶à0.5 s
C£®¼ÝʻԱ²ÉÈ¡ÖÆ¶¯´ëÊ©ºóÆû³µµÄ¼ÓËÙ¶È´óСΪ3.75 m/s2¡¡
D£®ÈôÆû³µÒÔ40 m/sµÄËÙ¶ÈÐÐʻʱ£¬·¢ÏÖǰ·½150m´¦ÓÐÏÕÇ飬¾Æºó¼ÝÊ»Õß²»Äܰ²È«Í£³µ
AB
¡¾½âÎö¡¿
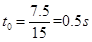
ÊÔÌâ·ÖÎö£ºÓɱíÖÐ˼¿¼Êý¾Ý¿ÉÖª¼ÝʻԱδÒû¾ÆÊ±µÄ·´Ó¦Ê±¼äΪ
£¬¾ÆºóµÄ·´Ó¦Ê±¼äΪ
£¬¹ÊÑ¡ÏîABÕýÈ·£»ÓɱíÖÐÖÆ¶¯¾àÀëºÍ
¿ÉÖª£º
£¬¹ÊÑ¡ÏîC´íÎó£»ÈôÒÔ40m/sµÄËٶȾƺóÐÐʻʱ£¬Öƶ¯¾àÀëΪ
£¬¹ÊÑ¡ÏîD´íÎó£®
¿¼µã£º±¾Ì⿼²éÔȱäËÙÖ±ÏßÔ˶¯¹æÂÉÔÚʵ¼ÊÉú»îÖеÄÓ¦Ó㬹ؼüÒªÃ÷È·ÖÆ¶¯¾àÀëµÄ¹¹³É£¬È»ºó½áºÏÔ˶¯Ñ§¹«Ê½½øÐмÆËãÇó½â£®
£¨2013?³¤É³Ò»Ä££©¾Æºó¼ÝÊ»»áµ¼ÖÂÐí¶à°²È«Òþ»¼£¬ÊÇÒòΪ¼ÝʻԱµÄ·´Ó¦Ê±¼ä±ä³¤£¬·´Ó¦Ê±¼äÊÇÖ¸¼ÝʻԱ´Ó·¢ÏÖÇé¿öµ½²ÉÈ¡ÖÆ¶¯µÄʱ¼ä£®Ï±íÖС°Ë¼¿¼¾àÀ롱ÊÇÖ¸¼ÝʻԱ´Ó·¢ÏÖÇé¿öµ½²ÉÈ¡ÖÆ¶¯µÄʱ¼äÄÚÆû³µÐÐÊ»µÄ¾àÀ룬¡°Öƶ¯¾àÀ롱ÊÇÖ¸¼ÝʻԱ´Ó·¢ÏÖÇé¿öµ½Æû³µÍ£Ö¹ÐÐÊ»µÄ¾àÀ루¼ÙÉèÆû³µÖƶ¯Ê±µÄ¼ÓËÙ¶È´óС¶¼Ïàͬ£©£®
| ||||||||||||||||||||||||
¾Æºó¼ÝÊ»»áµ¼ÖÂÐí¶à°²È«Òþ»¼£¬ÊÇÒòΪ¼ÝʻԱµÄ·´Ó¦Ê±¼ä±ä³¤£®·´Ó¦Ê±¼äÊÇÖ¸¼ÝʻԱ´Ó·¢ÏÖÇé¿öµ½²ÉÈ¡ÖÆ¶¯µÄʱ¼ä£®Ï±íÖС°Ë¼¿¼¾àÀ롱ÊÇÖ¸¼ÝʻԱ·¢ÏÖÇé¿öµ½²ÉÈ¡ÖÆ¶¯µÄʱ¼äÄÚÆû³µÐÐÊ»µÄ¾àÀ룻¡°Öƶ¯¾àÀ롱ÊÇÖ¸¼ÝʻԱ·¢ÏÖÇé¿öµ½Æû³µÍ£Ö¹ÐÐÊ»µÄ¾àÀ루¼ÙÉèÆû³µÖƶ¯Ê±µÄ¼ÓËÙ¶È´óС¶¼Ïàͬ£©£®
| ||||||||||||||||||||||||
¾Æºó¼ÝÊ»»áµ¼ÖÂÐí¶à°²È«Òþ»¼£¬ÊÇÒòΪ¼ÝʻԱµÄ·´Ó¦Ê±¼ä±ä³¤£¬·´Ó¦Ê±¼äÊÇÖ¸¼ÝʻԱ´Ó·¢ÏÖÇé¿öµ½²ÉÈ¡ÖÆ¶¯µÄʱ¼ä£®Ï±íÖС°Ë¼¿¼¾àÀ롱ÊÇÖ¸¼ÝʻԱ´Ó·¢ÏÖÇé¿öµ½²ÉÈ¡ÖÆ¶¯µÄʱ¼äÄÚÆû³µÐÐÊ»µÄ¾àÀ룬¡°Öƶ¯¾àÀ롱ÊÇÖ¸¼ÝʻԱ´Ó·¢ÏÖÇé¿öµ½Æû³µÍ£Ö¹ÐÐÊ»µÄ¾àÀ루¼ÙÉèÆû³µÖƶ¯Ê±µÄ¼ÓËÙ¶È´óС¶¼Ïàͬ£©£®·ÖÎöÉϱí¿ÉÖª£¬ÏÂÁÐ˵·¨ÕýÈ·µÄÊÇ£¨¡¡¡¡£©
| ||||||||||||||||||||||||
¾Æºó¼ÝÊ»»áµ¼ÖÂÐí¶à°²È«Òþ»¼£¬ÊÇÒòΪ¼ÝʻԱµÄ·´Ó¦Ê±¼ä±ä³¤£¬·´Ó¦Ê±¼äÊÇÖ¸¼ÝʻԱ´Ó·¢ÏÖÇé¿öµ½²ÉÈ¡ÖÆ¶¯µÄʱ¼ä£®Ï±íÖС°Ë¼¿¼¾àÀ롱ÊÇÖ¸¼ÝʻԱ´Ó·¢ÏÖÇé¿öµ½²ÉÈ¡ÖÆ¶¯µÄʱ¼äÄÚÆû³µÐÐÊ»µÄ¾àÀ룬¡°Öƶ¯¾àÀ롱ÊÇÖ¸¼ÝʻԱ´Ó·¢ÏÖÇé¿öµ½Æû³µÍ£Ö¹ÐÐÊ»µÄ¾àÀ루¼ÙÉèÆû³µÖƶ¯Ê±µÄ¼ÓËÙ¶È´óС¶¼Ïàͬ£©£®·ÖÎöÉϱí¿ÉÖª£¬ÏÂÁÐ˵·¨ÕýÈ·µÄÊÇ£¨¡¡¡¡£©
| ||||||||||||||||||||||||
¾Æºó¼ÝÊ»»áµ¼ÖÂÐí¶à°²È«Òþ»¼£¬ÊÇÒòΪ¼ÝʻԱµÄ·´Ó¦Ê±¼ä±ä³¤£¬·´Ó¦Ê±¼äÊÇÖ¸¼ÝʻԱ´Ó·¢ÏÖÇé¿öµ½²ÉÈ¡ÖÆ¶¯µÄʱ¼ä£®Ï±íÖС°Ë¼¿¼¾àÀ롱ÊÇÖ¸¼ÝʻԱ´Ó·¢ÏÖÇé¿öµ½²ÉÈ¡ÖÆ¶¯µÄʱ¼äÄÚÆû³µÐÐÊ»µÄ¾àÀ룬¡°Öƶ¯¾àÀ롱ÊÇÖ¸¼ÝʻԱ´Ó·¢ÏÖÇé¿öµ½Æû³µÍ£Ö¹ÐÐÊ»µÄ¾àÀ루¼ÙÉèÆû³µÖƶ¯Ê±µÄ¼ÓËÙ¶È´óС¶¼Ïàͬ£©£®·ÖÎöÉÏͼ¿ÉÖª£¬ÏÂÁÐ˵·¨ÕýÈ·µÄÊÇ£¨¡¡¡¡£©
| ||||||||||||||||||||||||