题目内容
一轻杆BO,其O端用光滑铰链铰于固定竖直杆AO上,B端挂一重物,且系一细绳,细绳跨过杆顶A处的光滑小滑轮,用力F拉住,如图所示.现将细绳缓慢往左拉,使杆BO与杆AO间的夹角θ逐渐减小,则在此过程中,拉力F及杆BO所受压力FN的大小变化情况是( )
A.FN先减小,后增大
B.FN始终不变
C.F先减小,后增大
D.F逐渐减小
【答案】分析:当细绳缓慢拉动时,整个装置处于动态平衡状态,以B点为研究对象,分析受力情况,作出力图.根据平衡条件,运用三角形相似法,得出F和FN与边长AB、AO、BO及物体重力的关系,再分析F、FN的变化情况.
解答:解:设物体的重力为G.以B点为研究对象,分析受力情况,作出力图,如图.
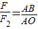
作出力FN与F的合力F2,根据平衡条件得知,F2=F1=G.由△F2FNB∽△ABO得
=
得到 FN=
G
式中,BO、AO、G不变,则FN保持不变.
同理:
得到F=
,
式中,AO、G不变,但是AB逐渐减小,所以F逐渐减小.
故选BD.
点评:本题中涉及非直角三角形,运用几何知识研究力与边或角的关系,是常用的思路.
解答:解:设物体的重力为G.以B点为研究对象,分析受力情况,作出力图,如图.
作出力FN与F的合力F2,根据平衡条件得知,F2=F1=G.由△F2FNB∽△ABO得
得到 FN=
式中,BO、AO、G不变,则FN保持不变.
同理:
得到F=
式中,AO、G不变,但是AB逐渐减小,所以F逐渐减小.
故选BD.
点评:本题中涉及非直角三角形,运用几何知识研究力与边或角的关系,是常用的思路.
练习册系列答案
相关题目