ÌâÄ¿ÄÚÈÝ
ÔÚÈçͼËùʾÊúÖ±Æ½Ãæ×ø±êϵÄÚ£¬ÔÚµÚËÄÏóÏÞÄÚ´æÔÚ´¹Ö±Ö½ÃæÏòÀïµÄÔÈÇ¿´Å³¡ºÍˮƽ·½Ïò µÄÔÈÇ¿µç³¡£¬´Å¸ÐӦǿ¶ÈΪB£¬µç³¡Ç¿¶ÈE1µÄ´óСºÍ·½Ïòδ֪£®ÖÊÁ¿Îªm¡¢´øµçÁ¿ÎªqµÄ ÒºµÎ´ÓpµãÑØÍ¼ÖÐÐéÏßÔÈËÙÔ˶¯µ½Ôµão½øÈëµÚ¶þÏóÏÞ£¬ÔÚµÚ¶þÏóÏÞÄÚ´æÔÚˮƽÏòÓÒµÄ ÔÈÇ¿µç³¡£¬Æä³¡Ç¿´óСΪE2£®ÒÑÖªPµã×ø±êΪ£¨4L£¬-3L£©£¬ÖØÁ¦¼ÓËÙ¶ÈΪg£®Ç󣺣¨1£©E1µÄ·½ÏòºÍ´óС£®
£¨2£©ÒºµÎÔÚµÚËÄÏóÏÞÔÈËÙÔ˶¯µÄËÙ¶È´óС£®
£¨3£©ÒºµÎͨ¹ý0µãºóÔÙ´Îͨ¹ýxÖáʱµÄ×ø±ê£®
¡¾´ð°¸¡¿·ÖÎö£º£¨1£©Á£×ÓÔÚµÚËÄÏóÏÞÄÚÊÜÖØÁ¦¡¢µç³¡Á¦ºÍÂåÂ××ÈÁ¦Æ½ºâ£¬¸ù¾Ý¹²µãÁ¦Æ½ºâµÃ³öµç³¡Ç¿¶ÈµÄ·½ÏòºÍ´óС£®
£¨2£©¸ù¾Ý¹²µãÁ¦Æ½ºâÇó³öÁ£×ÓÔÚµÚËÄÏóÏÞÄÚÔÈËÙÔ˶¯µÄËÙ¶È´óС£®
£¨3£©½«½øÈëµÚ¶þÏóÏÞµÄËÙ¶È·Ö½âΪˮƽ·½ÏòºÍÊúÖ±·½Ïò£¬ÔÚˮƽ·½ÏòÉÏ×öÔȼÓËÙÖ±ÏßÔ˶¯£¬ÔÚÊúÖ±·½ÏòÉÏ×öÊúÖ±ÉÏÅ×Ô˶¯£¬½áºÏÅ£¶ÙµÚ¶þ¶¨ÂɺÍÔ˶¯Ñ§¹«Ê½Çó³öÒºµÎͨ¹ý0µãºóÔÙ´Îͨ¹ýxÖáʱµÄ×ø±ê£®
½â´ð£º½â£º£¨1£©´øµçÁ£×ÓÓÉPÔ˶¯µ½OµÄ¹ý³ÌÖУ¬Á£×ÓÊܵ½ÖØÁ¦¡¢µç³¡Á¦¡¢ÂåÂ××ÈÁ¦Èý¸öÁ¦×÷Óã¬ÈçͼËùʾ£®¹Ê Á£×Ó´ø¸ºµç£¬µç³¡·½ÏòˮƽÏòÓÒ£®
½âµÃ£º
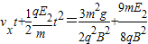
£®
£¨2£©
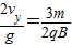
£¬½âµÃv=
£®
£¨3£©ÒºµÎ½øÈëµÚ¶þÏóÏ޺󣬽«ËÙ¶ÈÑØ×ø±êÖá·Ö½â

ÒºµÎÑØxÖḺ·½Ïò×öÔȼÓËÙÖ±ÏßÔ˶¯£¬ÑØÊúÖ±·½ÏòÉÏ×öÊúÖ±ÉÏÅ×Ô˶¯
t=
£®
ˮƽ·½ÏòÉÏÎ»ÒÆ´óСx=
×ø±êΪ£¨
£©£®
´ð£º£¨1£©E1µÄ·½ÏòˮƽÏòÓÒ£¬´óСΪ
£®
£¨2£©ÒºµÎÔÚµÚËÄÏóÏÞÔÈËÙÔ˶¯µÄËÙ¶È´óСΪ
£®
£¨3£©ÒºµÎͨ¹ý0µãºóÔÙ´Îͨ¹ýxÖáʱµÄ×ø±êΪ£¨
£©£®
µãÆÀ£º±¾ÌâÖÐÖʵãÔÚ¸´ºÏ³¡Ô˶¯£¬·ÖÎöÊÜÁ¦Çé¿ö£¬È·¶¨ÖʵãµÄÔ˶¯Çé¿öÊǽâÌâµÄ»ù´¡£®
£¨2£©¸ù¾Ý¹²µãÁ¦Æ½ºâÇó³öÁ£×ÓÔÚµÚËÄÏóÏÞÄÚÔÈËÙÔ˶¯µÄËÙ¶È´óС£®
£¨3£©½«½øÈëµÚ¶þÏóÏÞµÄËÙ¶È·Ö½âΪˮƽ·½ÏòºÍÊúÖ±·½Ïò£¬ÔÚˮƽ·½ÏòÉÏ×öÔȼÓËÙÖ±ÏßÔ˶¯£¬ÔÚÊúÖ±·½ÏòÉÏ×öÊúÖ±ÉÏÅ×Ô˶¯£¬½áºÏÅ£¶ÙµÚ¶þ¶¨ÂɺÍÔ˶¯Ñ§¹«Ê½Çó³öÒºµÎͨ¹ý0µãºóÔÙ´Îͨ¹ýxÖáʱµÄ×ø±ê£®
½â´ð£º½â£º£¨1£©´øµçÁ£×ÓÓÉPÔ˶¯µ½OµÄ¹ý³ÌÖУ¬Á£×ÓÊܵ½ÖØÁ¦¡¢µç³¡Á¦¡¢ÂåÂ××ÈÁ¦Èý¸öÁ¦×÷Óã¬ÈçͼËùʾ£®¹Ê Á£×Ó´ø¸ºµç£¬µç³¡·½ÏòˮƽÏòÓÒ£®
½âµÃ£º
£¨2£©
£¨3£©ÒºµÎ½øÈëµÚ¶þÏóÏ޺󣬽«ËÙ¶ÈÑØ×ø±êÖá·Ö½â
ÒºµÎÑØxÖḺ·½Ïò×öÔȼÓËÙÖ±ÏßÔ˶¯£¬ÑØÊúÖ±·½ÏòÉÏ×öÊúÖ±ÉÏÅ×Ô˶¯
t=
ˮƽ·½ÏòÉÏÎ»ÒÆ´óСx=
×ø±êΪ£¨
´ð£º£¨1£©E1µÄ·½ÏòˮƽÏòÓÒ£¬´óСΪ
£¨2£©ÒºµÎÔÚµÚËÄÏóÏÞÔÈËÙÔ˶¯µÄËÙ¶È´óСΪ
£¨3£©ÒºµÎͨ¹ý0µãºóÔÙ´Îͨ¹ýxÖáʱµÄ×ø±êΪ£¨
µãÆÀ£º±¾ÌâÖÐÖʵãÔÚ¸´ºÏ³¡Ô˶¯£¬·ÖÎöÊÜÁ¦Çé¿ö£¬È·¶¨ÖʵãµÄÔ˶¯Çé¿öÊǽâÌâµÄ»ù´¡£®
Á·Ï°²áϵÁдð°¸
Ïà¹ØÌâÄ¿