题目内容

一个放射性元素的原子核,经过xα衰变、yβ衰变后,核中质子数减少a个,中子数减少b个,则x多大?y多大?


解析:

设A核发生α衰变x次、发生β衰变y次后生成B核.A核原来的质量数为m、原来的电荷数为z.则根据电荷数守恒、质量数守恒关系可写出核反应方程:

质子数和中子数的变化方程:

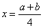
联立这两个方程,解得

解决此类衰变问题的理论依据是:电荷数守恒、质量数守恒.同时还要注意到,每经历一次α衰变原子核的电荷数减2、质量数减4;每经历一次β衰变,原子核的电荷数加1、质量数不变化的规律.与其他题目不同的是,本题还讨论了中子数的变化.但核反应方程中并没有直接表示出中子的个数,不过我们可以用核子的质量数减去电荷数从而求得中子的个数.核反应前后的中子数之差就是中子个数的变化.

练习册系列答案
相关题目

违法和不良信息举报电话:027-86699610 举报邮箱:58377363@163.com

精英家教网